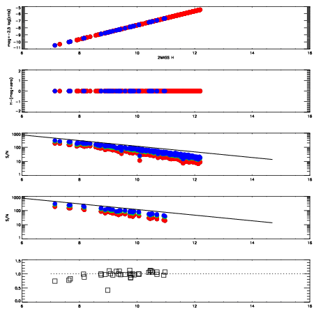
Left plots: red are targets, blue are telluric. Observed mags are calculated from median value of green chip. Zeropoint gives overall throughput: bigger number is more throughput.
First spatial plots: circles are objects, squares are tellurics, crosses are sky fibers. Colors give deviation of observed mag from expected 2MASS mag using the median zeropoint; red is brighter
Second spatial plots: circles are sky fibers. Colors give sky line brightness relative to plate median sky line brightness
FrameNreadsZeropointsMag plots Spatial mag deviation Spatial sky 16325A emission deviations (filled: sky, open: star) Spatial sky continuum emission Spatial sky telluric CO2 absorption deviations (filled: H < 10)
0 0
RedGreenBlue
z17.64
znorm Inf
sky -Inf -Inf -Inf
S/N 9.2 17.3 18.5
S/N(c) 0.0 0.0 0.0
SN(E/C) 0.99

IPAIRNAMESHIFTNEWSHIFTS/N NAMESHIFTNEWSHIFTS/N
0 07290032 0.485300 0.00000 17.1647 07290029 0.00543589 0.479864 17.4934
1 07290027 0.482121 0.00317901 17.9168 07290026 0.00000 0.485300 18.3439
2 07290028 0.482748 0.00255200 17.7130 07290033 0.00795876 0.477341 17.5807
3 07290031 0.484928 0.000371993 17.0796 07290030 0.00440027 0.480900 17.3154