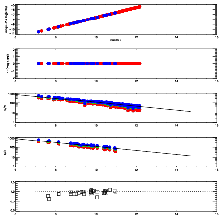
Left plots: red are targets, blue are telluric. Observed mags are calculated from median value of green chip. Zeropoint gives overall throughput: bigger number is more throughput.
First spatial plots: circles are objects, squares are tellurics, crosses are sky fibers. Colors give deviation of observed mag from expected 2MASS mag using the median zeropoint; red is brighter
Second spatial plots: circles are sky fibers. Colors give sky line brightness relative to plate median sky line brightness
FrameNreadsZeropointsMag plots Spatial mag deviation Spatial sky 16325A emission deviations (filled: sky, open: star) Spatial sky continuum emission Spatial sky telluric CO2 absorption deviations (filled: H < 10)
0 0
RedGreenBlue
z17.64
znorm Inf
sky -Inf -Inf -Inf
S/N 23.1 40.5 45.8
S/N(c) 0.0 0.0 0.0
SN(E/C) 0.96

IPAIRNAMESHIFTNEWSHIFTS/N NAMESHIFTNEWSHIFTS/N
0 07500033 0.487687 0.00000 18.7605 07500027 0.00000 0.487687 18.7571
1 07500028 0.484380 0.00330698 18.7897 07500034 0.00334074 0.484346 18.8356
2 07500029 0.484178 0.00350899 18.7873 07500031 0.000192150 0.487495 18.7891
3 07500032 0.486979 0.000707984 18.7158 07500030 -0.000421353 0.488108 18.7208