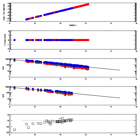
Left plots: red are targets, blue are telluric. Observed mags are calculated from median value of green chip. Zeropoint gives overall throughput: bigger number is more throughput.
First spatial plots: circles are objects, squares are tellurics, crosses are sky fibers. Colors give deviation of observed mag from expected 2MASS mag using the median zeropoint; red is brighter
Second spatial plots: circles are sky fibers. Colors give sky line brightness relative to plate median sky line brightness
FrameNreadsZeropointsMag plots Spatial mag deviation Spatial sky 16325A emission deviations (filled: sky, open: star) Spatial sky continuum emission Spatial sky telluric CO2 absorption deviations (filled: H < 10)
0 0
RedGreenBlue
z17.64
znorm Inf
sky -NaN -NaN -Inf
S/N 24.2 41.6 44.4
S/N(c) 0.0 0.0 0.0
SN(E/C) 0.92

IPAIRNAMESHIFTNEWSHIFTS/N NAMESHIFTNEWSHIFTS/N
0 07030016 0.475503 0.00000 18.9893 07030017 0.00141904 0.474084 18.9889
1 07030015 0.474873 0.000629991 18.9595 07030013 0.00209326 0.473410 18.9563
2 07030012 0.473710 0.00179300 18.9163 07030014 0.00163390 0.473869 18.8701
3 07030011 0.473669 0.00183401 18.8155 07030010 0.00000 0.475503 18.7190