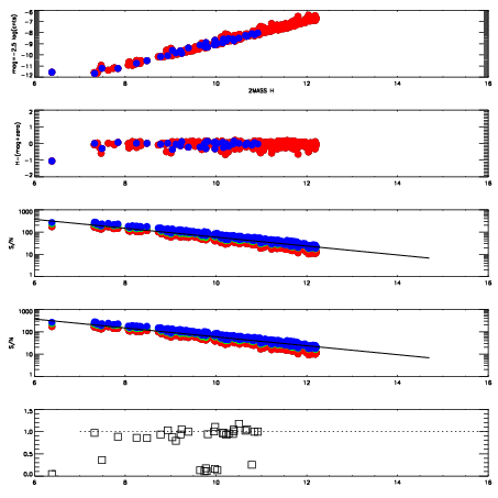
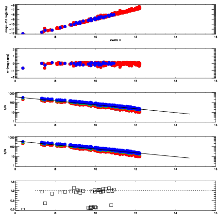
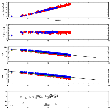
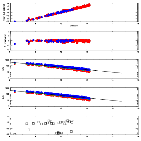
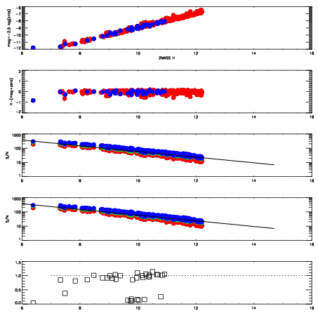
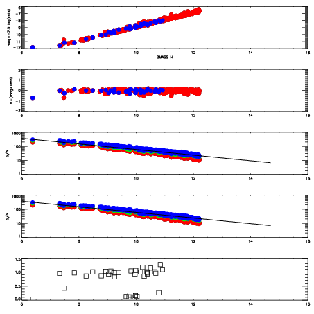
Frame | Nreads | Zeropoints | Mag plots
| Spatial mag deviation
| Spatial sky 16325A emission deviations (filled: sky, open: star)
| Spatial sky continuum emission
| Spatial sky telluric CO2 absorption deviations (filled: H < 10)
|
7280026
| 47
| | Red | Green | Blue
| z | | 18.98
| znorm | | 14.80
| sky | 14.9 | 14.4 | 14.4
| S/N | 13.6 | 22.3 | 23.1
| S/N(c) | 24.2 | 3.1 | 6.5
| SN(E/C) | 0.94
|
|
|
|
|
|
|
7280027
| 47
| | Red | Green | Blue
| z | | 19.01
| znorm | | 14.83
| sky | 15.0 | 14.5 | 14.8
| S/N | 13.8 | 22.8 | 24.0
| S/N(c) | 24.6 | 3.2 | 6.7
| SN(E/C) | 0.93
|
|
|
|
|
|
|
7280028
| 47
| | Red | Green | Blue
| z | | 19.02
| znorm | | 14.84
| sky | 15.1 | 14.6 | 14.8
| S/N | 14.1 | 22.8 | 24.0
| S/N(c) | 24.8 | 3.2 | 6.8
| SN(E/C) | 0.90
|
|
|
|
|
|
|
7280029
| 47
| | Red | Green | Blue
| z | | 19.00
| znorm | | 14.82
| sky | 14.9 | 14.6 | 14.8
| S/N | 13.7 | 22.7 | 23.9
| S/N(c) | 24.7 | 3.2 | 6.8
| SN(E/C) | 0.92
|
|
|
|
|
|
|
7280030
| 47
| | Red | Green | Blue
| z | | 18.90
| znorm | | 14.72
| sky | 15.0 | 14.7 | 14.9
| S/N | 12.7 | 21.4 | 22.8
| S/N(c) | 23.9 | 3.0 | 6.5
| SN(E/C) | 0.95
|
|
|
|
|
|
|
7280031
| 47
| | Red | Green | Blue
| z | | 18.97
| znorm | | 14.79
| sky | 15.0 | 14.7 | 14.8
| S/N | 13.3 | 22.2 | 23.8
| S/N(c) | 24.9 | 3.1 | 6.8
| SN(E/C) | 0.94
|
|
|
|
|
|
|
7280032
| 47
| | Red | Green | Blue
| z | | 18.94
| znorm | | 14.76
| sky | 15.0 | 14.8 | 14.9
| S/N | 13.2 | 21.8 | 23.6
| S/N(c) | 24.4 | 3.1 | 6.7
| SN(E/C) | 0.95
|
|
|
|
|
|
|
7280033
| 47
| | Red | Green | Blue
| z | | 18.98
| znorm | | 14.80
| sky | 15.0 | 14.8 | 14.9
| S/N | 13.7 | 22.2 | 24.5
| S/N(c) | 24.9 | 3.2 | 6.8
| SN(E/C) | 0.93
|
|
|
|
|
|
|