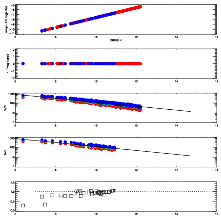
Left plots: red are targets, blue are telluric. Observed mags are calculated from median value of green chip. Zeropoint gives overall throughput: bigger number is more throughput.
First spatial plots: circles are objects, squares are tellurics, crosses are sky fibers. Colors give deviation of observed mag from expected 2MASS mag using the median zeropoint; red is brighter
Second spatial plots: circles are sky fibers. Colors give sky line brightness relative to plate median sky line brightness
FrameNreadsZeropointsMag plots Spatial mag deviation Spatial sky 16325A emission deviations (filled: sky, open: star) Spatial sky continuum emission Spatial sky telluric CO2 absorption deviations (filled: H < 10)
0 0
RedGreenBlue
z17.64
znorm Inf
sky -NaN -Inf -Inf
S/N 24.5 42.2 45.2
S/N(c) 0.0 0.0 0.0
SN(E/C) 0.95

IPAIRNAMESHIFTNEWSHIFTS/N NAMESHIFTNEWSHIFTS/N
0 07280028 0.486858 0.00000 19.0142 07280029 0.00304421 0.483814 18.9947
1 07280027 0.486448 0.000410020 19.0113 07280026 0.00000 0.486858 18.9774
2 07280031 0.485025 0.00183302 18.9702 07280033 0.00382280 0.483035 18.9723
3 07280032 0.485878 0.000980020 18.9369 07280030 0.00317520 0.483683 18.8946