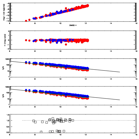
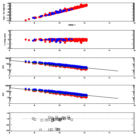
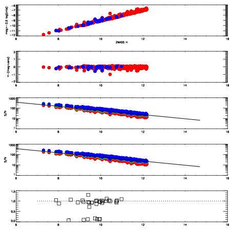
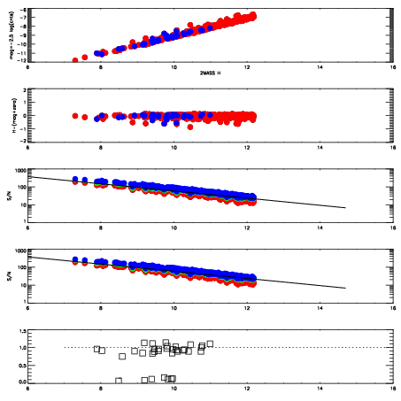
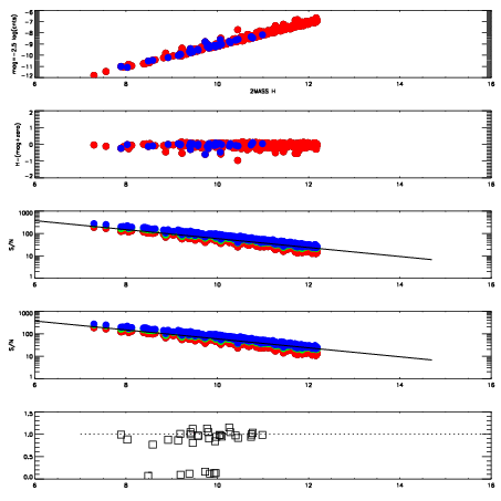
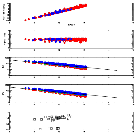
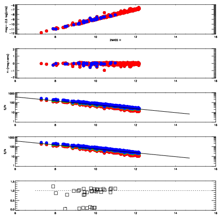
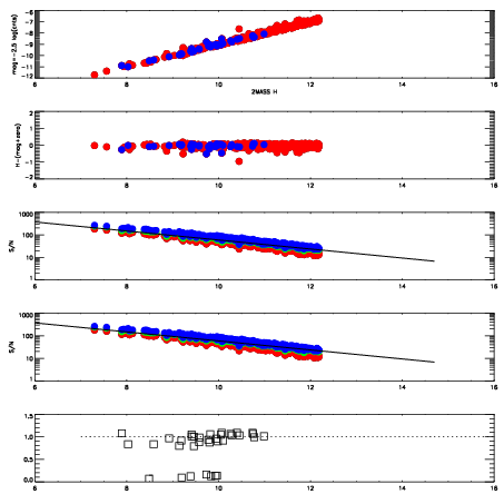
Frame | Nreads | Zeropoints | Mag plots
| Spatial mag deviation
| Spatial sky 16325A emission deviations (filled: sky, open: star)
| Spatial sky continuum emission
| Spatial sky telluric CO2 absorption deviations (filled: H < 10)
|
6950049
| 47
| | Red | Green | Blue
| z | | 19.02
| znorm | | 14.84
| sky | 14.7 | 14.2 | 14.5
| S/N | 15.2 | 23.9 | 25.5
| S/N(c) | 22.7 | 26.7 | 22.3
| SN(E/C) | 0.94
|
|
|
|
|
|
|
6950050
| 47
| | Red | Green | Blue
| z | | 19.09
| znorm | | 14.91
| sky | 14.8 | 14.5 | 14.6
| S/N | 15.6 | 25.0 | 26.4
| S/N(c) | 23.6 | 27.5 | 22.9
| SN(E/C) | 0.94
|
|
|
|
|
|
|
6950051
| 47
| | Red | Green | Blue
| z | | 19.15
| znorm | | 14.97
| sky | 14.9 | 14.4 | 14.7
| S/N | 16.4 | 26.2 | 27.7
| S/N(c) | 24.5 | 28.5 | 24.0
| SN(E/C) | 0.91
|
|
|
|
|
|
|
6950052
| 47
| | Red | Green | Blue
| z | | 19.13
| znorm | | 14.95
| sky | 14.5 | 14.4 | 14.7
| S/N | 16.2 | 25.8 | 27.1
| S/N(c) | 24.2 | 28.1 | 23.9
| SN(E/C) | 0.95
|
|
|
|
|
|
|
6950053
| 47
| | Red | Green | Blue
| z | | 19.07
| znorm | | 14.89
| sky | 14.7 | 14.5 | 14.8
| S/N | 15.4 | 25.2 | 26.5
| S/N(c) | 23.4 | 27.4 | 23.0
| SN(E/C) | 0.95
|
|
|
|
|
|
|
6950054
| 47
| | Red | Green | Blue
| z | | 19.03
| znorm | | 14.85
| sky | 14.7 | 14.5 | 14.8
| S/N | 15.1 | 24.7 | 26.2
| S/N(c) | 22.7 | 26.9 | 22.8
| SN(E/C) | 0.96
|
|
|
|
|
|
|
6950055
| 47
| | Red | Green | Blue
| z | | 19.12
| znorm | | 14.94
| sky | 14.6 | 14.5 | 14.7
| S/N | 15.7 | 25.7 | 27.3
| S/N(c) | 23.8 | 28.1 | 23.7
| SN(E/C) | 0.94
|
|
|
|
|
|
|
6950056
| 47
| | Red | Green | Blue
| z | | 19.04
| znorm | | 14.86
| sky | 14.8 | 14.5 | 14.8
| S/N | 15.1 | 24.7 | 26.4
| S/N(c) | 23.0 | 27.2 | 22.7
| SN(E/C) | 0.96
|
|
|
|
|
|
|