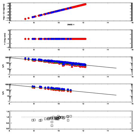
Left plots: red are targets, blue are telluric. Observed mags are calculated from median value of green chip. Zeropoint gives overall throughput: bigger number is more throughput.
First spatial plots: circles are objects, squares are tellurics, crosses are sky fibers. Colors give deviation of observed mag from expected 2MASS mag using the median zeropoint; red is brighter
Second spatial plots: circles are sky fibers. Colors give sky line brightness relative to plate median sky line brightness
FrameNreadsZeropointsMag plots Spatial mag deviation Spatial sky 16325A emission deviations (filled: sky, open: star) Spatial sky continuum emission Spatial sky telluric CO2 absorption deviations (filled: H < 10)
0 0
RedGreenBlue
z17.64
znorm Inf
sky -Inf -NaN -Inf
S/N 29.1 49.2 53.1
S/N(c) 0.0 0.0 0.0
SN(E/C) 0.90

IPAIRNAMESHIFTNEWSHIFTS/N NAMESHIFTNEWSHIFTS/N
0 06990059 0.483053 0.00000 19.1655 06990060 0.000116991 0.482936 19.1949
1 06990058 0.478461 0.00459200 19.1450 06990057 -0.00113886 0.484192 19.1218
2 06990054 0.478323 0.00472999 19.1087 06990053 0.00000 0.483053 19.0819
3 06990055 0.482746 0.000306994 19.1011 06990056 0.000293334 0.482760 19.0816