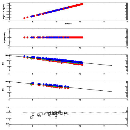
Left plots: red are targets, blue are telluric. Observed mags are calculated from median value of green chip. Zeropoint gives overall throughput: bigger number is more throughput.
First spatial plots: circles are objects, squares are tellurics, crosses are sky fibers. Colors give deviation of observed mag from expected 2MASS mag using the median zeropoint; red is brighter
Second spatial plots: circles are sky fibers. Colors give sky line brightness relative to plate median sky line brightness
FrameNreadsZeropointsMag plots Spatial mag deviation Spatial sky 16325A emission deviations (filled: sky, open: star) Spatial sky continuum emission Spatial sky telluric CO2 absorption deviations (filled: H < 10)
0 0
RedGreenBlue
z17.64
znorm Inf
sky -Inf -Inf -Inf
S/N 25.0 42.4 46.1
S/N(c) 0.0 0.0 0.0
SN(E/C) 0.92

IPAIRNAMESHIFTNEWSHIFTS/N NAMESHIFTNEWSHIFTS/N
0 07510012 0.471645 0.00000 19.0026 07510014 0.000632816 0.471012 19.0269
1 07510011 0.471257 0.000387996 18.9778 07510010 0.00000 0.471645 18.9871
2 07510015 0.470667 0.000977993 18.9491 07510017 0.00371809 0.467927 18.9429
3 07510016 0.470825 0.000820011 18.8638 07510013 0.00101225 0.470633 18.9318