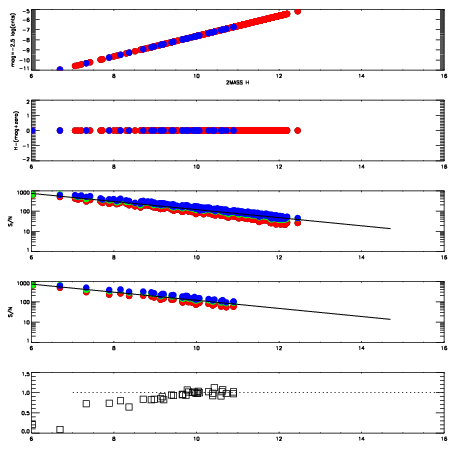
Left plots: red are targets, blue are telluric. Observed mags are calculated from median value of green chip. Zeropoint gives overall throughput: bigger number is more throughput.
First spatial plots: circles are objects, squares are tellurics, crosses are sky fibers. Colors give deviation of observed mag from expected 2MASS mag using the median zeropoint; red is brighter
Second spatial plots: circles are sky fibers. Colors give sky line brightness relative to plate median sky line brightness
FrameNreadsZeropointsMag plots Spatial mag deviation Spatial sky 16325A emission deviations (filled: sky, open: star) Spatial sky continuum emission Spatial sky telluric CO2 absorption deviations (filled: H < 10)
0 0
RedGreenBlue
z17.64
znorm Inf
sky -NaN -NaN -Inf
S/N 26.4 44.8 48.8
S/N(c) 0.0 0.0 0.0
SN(E/C) 0.94

IPAIRNAMESHIFTNEWSHIFTS/N NAMESHIFTNEWSHIFTS/N
0 07000052 0.481985 0.00000 18.9759 07000054 0.000471039 0.481514 18.9615
1 07000051 0.480355 0.00163001 19.0930 07000050 0.00000 0.481985 19.1635
2 07000056 0.481984 1.01328e-06 19.0267 07000053 0.000190098 0.481795 19.1472
3 07000055 0.481116 0.000869006 18.9855 07000057 -0.000585583 0.482571 19.1191