PLATE:6543 MJD: 56285 FIELD: 176+04

FrameCartsec zseeingNreadsDitherPixshiftZerosky continuumS/NS/N(cframe)
7230037 9 1.26 1.47 47 0.00 -0.00 18.94 [14.73,14.39,14.31] [ 13.3, 21.5, 21.2] [ 27.8, 26.7, 20.0]
7230038 9 1.23 1.65 47 0.48 0.00 18.94 [14.74,14.45,14.51] [ 13.5, 21.8, 22.1] [ 27.1, 26.7, 20.4]
7230039 9 1.20 1.46 47 0.48 -0.00 18.95 [14.79,14.55,14.62] [ 13.7, 22.0, 22.9] [ 27.6, 27.1, 20.6]
7230040 9 1.18 1.71 47 0.00 0.00 18.67 [14.79,14.54,14.73] [ 11.5, 19.1, 19.8] [ 23.7, 23.8, 18.4]
7230041 9 1.16 2.13 47 0.00 0.00 18.93 [14.81,14.59,14.60] [ 13.7, 22.0, 23.2] [ 27.6, 26.8, 20.8]
7230042 9 1.14 1.47 47 0.48 -0.00 18.97 [14.64,14.62,14.60] [ 14.0, 22.8, 23.9] [ 27.9, 27.2, 21.2]
7230043 9 1.12 1.75 47 0.48 -0.00 18.89 [14.94,14.64,14.73] [ 13.2, 21.7, 22.8] [ 26.8, 26.3, 20.5]
7230044 9 1.10 1.56 47 0.00 0.00 18.94 [14.93,14.68,14.70] [ 13.8, 22.2, 23.9] [ 28.0, 27.1, 21.3]

IPAIRNAMESHIFTNEWSHIFTS/N NAMESHIFTNEWSHIFTS/N
0 07230039 0.478 0.000 18.93 07230041 0.002 0.476 18.92
1 07230042 0.477 0.001 18.95 07230044 0.004 0.474 18.93
2 07230038 0.478 0.000 18.91 07230037 0.000 0.478 18.92
3 07230043 0.478 0.000 18.87 07230040 0.003 0.475 18.66

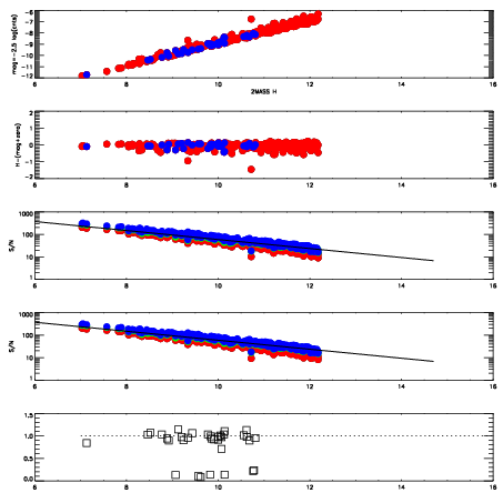
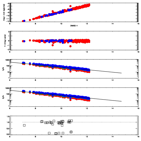
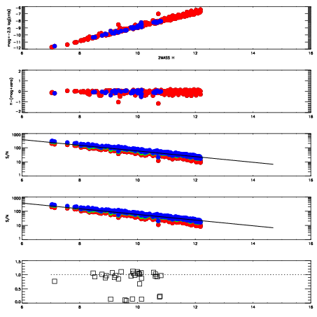
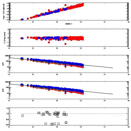
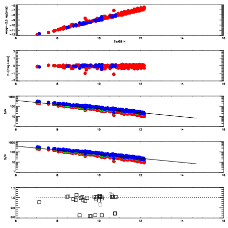
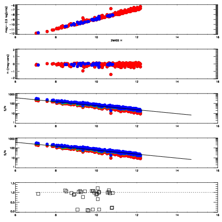
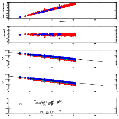
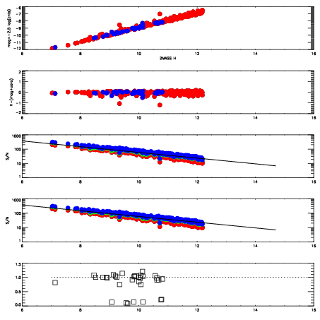
Visit (multiple exposure and dither combined) spectra

FrameZeropointsMag plots Spatial mag deviation Spatial sky telluric CH4 Spatial sky telluric CO2 Spatial sky telluric H2O Spatial sky 16325A emission deviations (filled: sky, open: star) Spatial sky continuum emission
7230037
RedGreenBlue
z18.94
znorm14.76
sky 14.7 14.4 14.3
S/N 13.3 21.5 21.2
S/N(c) 27.8 26.7 20.0
SN(E/C) 0.96
7230038
RedGreenBlue
z18.94
znorm14.76
sky 14.7 14.4 14.5
S/N 13.5 21.8 22.1
S/N(c) 27.1 26.7 20.4
SN(E/C) 0.98
7230039
RedGreenBlue
z18.95
znorm14.77
sky 14.8 14.5 14.6
S/N 13.7 22.0 22.9
S/N(c) 27.6 27.1 20.6
SN(E/C) 0.93
7230040
RedGreenBlue
z18.67
znorm14.49
sky 14.8 14.5 14.7
S/N 11.5 19.1 19.8
S/N(c) 23.7 23.8 18.4
SN(E/C) 1.01
7230041
RedGreenBlue
z18.93
znorm14.75
sky 14.8 14.6 14.6
S/N 13.7 22.0 23.2
S/N(c) 27.6 26.8 20.8
SN(E/C) 0.95
7230042
RedGreenBlue
z18.97
znorm14.79
sky 14.6 14.6 14.6
S/N 14.0 22.8 23.9
S/N(c) 27.9 27.2 21.2
SN(E/C) 0.99
7230043
RedGreenBlue
z18.89
znorm14.71
sky 14.9 14.6 14.7
S/N 13.2 21.7 22.8
S/N(c) 26.8 26.3 20.5
SN(E/C) 0.96
7230044
RedGreenBlue
z18.94
znorm14.76
sky 14.9 14.7 14.7
S/N 13.8 22.2 23.9
S/N(c) 28.0 27.1 21.3
SN(E/C) 0.98