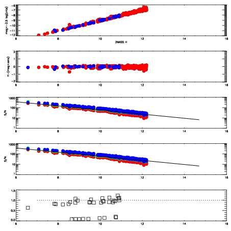
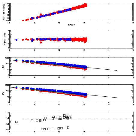
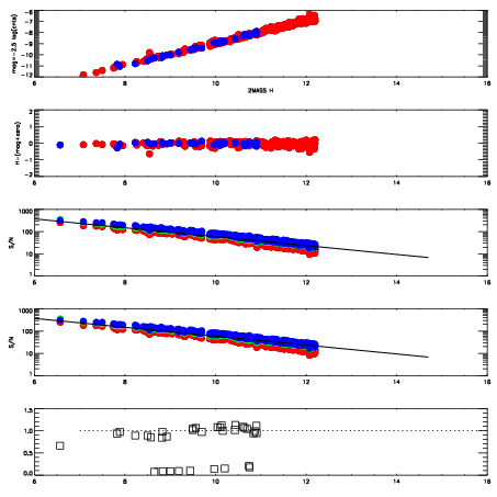
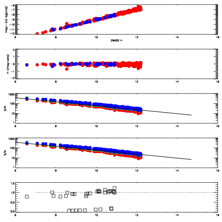
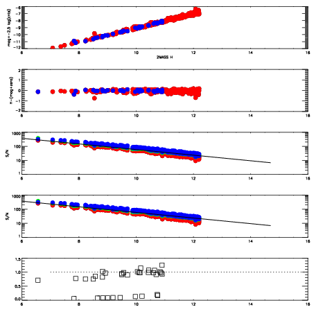
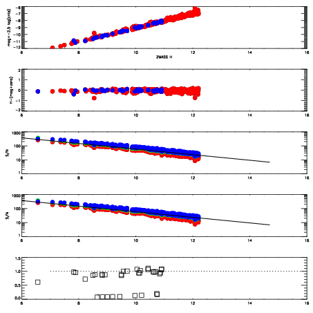
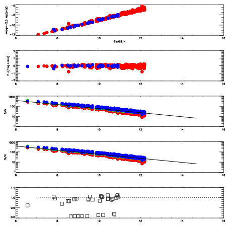
Frame | Nreads | Zeropoints | Mag plots
| Spatial mag deviation
| Spatial sky 16325A emission deviations (filled: sky, open: star)
| Spatial sky continuum emission
| Spatial sky telluric CO2 absorption deviations (filled: H < 10)
|
7280037
| 47
| | Red | Green | Blue
| z | | 19.03
| znorm | | 14.85
| sky | 14.7 | 14.4 | 14.3
| S/N | 15.2 | 24.8 | 24.8
| S/N(c) | 23.3 | 23.6 | 11.8
| SN(E/C) | 0.91
|
|
|
|
|
|
|
7280038
| 47
| | Red | Green | Blue
| z | | 19.09
| znorm | | 14.91
| sky | 15.1 | 14.8 | 14.8
| S/N | 15.4 | 25.3 | 25.8
| S/N(c) | 23.6 | 24.0 | 12.0
| SN(E/C) | 0.91
|
|
|
|
|
|
|
7280039
| 47
| | Red | Green | Blue
| z | | 19.08
| znorm | | 14.90
| sky | 14.9 | 14.8 | 14.8
| S/N | 15.3 | 25.3 | 26.0
| S/N(c) | 23.4 | 24.2 | 12.1
| SN(E/C) | 0.88
|
|
|
|
|
|
|
7280040
| 47
| | Red | Green | Blue
| z | | 19.10
| znorm | | 14.92
| sky | 14.8 | 14.8 | 14.8
| S/N | 15.8 | 25.5 | 26.3
| S/N(c) | 23.6 | 24.4 | 12.2
| SN(E/C) | 0.91
|
|
|
|
|
|
|
7280041
| 47
| | Red | Green | Blue
| z | | 19.09
| znorm | | 14.91
| sky | 15.0 | 14.8 | 14.7
| S/N | 15.5 | 25.6 | 26.3
| S/N(c) | 23.7 | 24.4 | 12.2
| SN(E/C) | 0.90
|
|
|
|
|
|
|
7280042
| 47
| | Red | Green | Blue
| z | | 19.07
| znorm | | 14.89
| sky | 15.0 | 14.9 | 14.6
| S/N | 15.0 | 25.3 | 26.0
| S/N(c) | 23.2 | 24.3 | 12.2
| SN(E/C) | 0.89
|
|
|
|
|
|
|
7280043
| 47
| | Red | Green | Blue
| z | | 19.06
| znorm | | 14.88
| sky | 14.9 | 14.9 | 14.8
| S/N | 14.7 | 25.1 | 26.0
| S/N(c) | 23.1 | 24.6 | 12.1
| SN(E/C) | 0.93
|
|
|
|
|
|
|
7280044
| 47
| | Red | Green | Blue
| z | | 18.98
| znorm | | 14.80
| sky | 14.9 | 14.8 | 14.9
| S/N | 14.2 | 24.2 | 25.2
| S/N(c) | 22.0 | 23.7 | 11.7
| SN(E/C) | 0.94
|
|
|
|
|
|
|