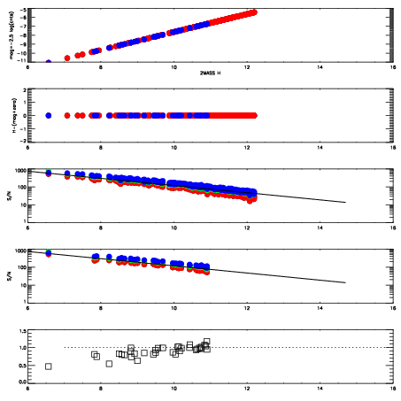
Left plots: red are targets, blue are telluric. Observed mags are calculated from median value of green chip. Zeropoint gives overall throughput: bigger number is more throughput.
First spatial plots: circles are objects, squares are tellurics, crosses are sky fibers. Colors give deviation of observed mag from expected 2MASS mag using the median zeropoint; red is brighter
Second spatial plots: circles are sky fibers. Colors give sky line brightness relative to plate median sky line brightness
FrameNreadsZeropointsMag plots Spatial mag deviation Spatial sky 16325A emission deviations (filled: sky, open: star) Spatial sky continuum emission Spatial sky telluric CO2 absorption deviations (filled: H < 10)
0 0
RedGreenBlue
z17.64
znorm Inf
sky -NaN -NaN -Inf
S/N 26.9 46.8 49.4
S/N(c) 0.0 0.0 0.0
SN(E/C) 0.93

IPAIRNAMESHIFTNEWSHIFTS/N NAMESHIFTNEWSHIFTS/N
0 07280042 0.488636 0.00000 19.0612 07280037 0.00000 0.488636 19.0124
1 07280038 0.482054 0.00658199 19.0725 07280040 0.000364650 0.488271 19.0785
2 07280039 0.482473 0.00616300 19.0686 07280041 0.000135611 0.488500 19.0784
3 07280043 0.488571 6.49989e-05 19.0418 07280044 0.00149606 0.487140 18.9602