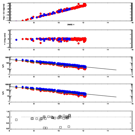
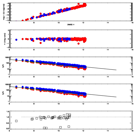
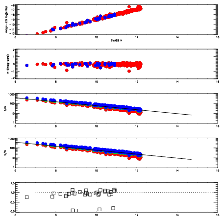
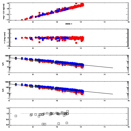
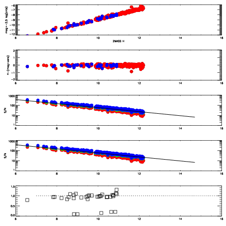
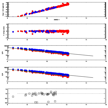
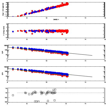
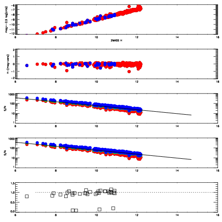
Frame | Nreads | Zeropoints | Mag plots
| Spatial mag deviation
| Spatial sky 16325A emission deviations (filled: sky, open: star)
| Spatial sky continuum emission
| Spatial sky telluric CO2 absorption deviations (filled: H < 10)
|
10230073
| 47
| | Red | Green | Blue
| z | | 19.00
| znorm | | 14.82
| sky | 14.8 | 14.4 | 14.4
| S/N | 14.1 | 22.9 | 23.6
| S/N(c) | 21.8 | 28.7 | 11.4
| SN(E/C) | 0.95
|
|
|
|
|
|
|
10230074
| 47
| | Red | Green | Blue
| z | | 19.03
| znorm | | 14.84
| sky | 14.7 | 14.6 | 14.6
| S/N | 14.3 | 23.3 | 24.2
| S/N(c) | 22.3 | 28.7 | 11.4
| SN(E/C) | 0.94
|
|
|
|
|
|
|
10230075
| 47
| | Red | Green | Blue
| z | | 19.02
| znorm | | 14.84
| sky | 14.7 | 14.6 | 14.6
| S/N | 13.9 | 22.9 | 24.4
| S/N(c) | 22.1 | 28.4 | 11.5
| SN(E/C) | 0.94
|
|
|
|
|
|
|
10230076
| 47
| | Red | Green | Blue
| z | | 19.03
| znorm | | 14.85
| sky | 14.8 | 14.7 | 14.6
| S/N | 14.1 | 23.6 | 24.7
| S/N(c) | 22.3 | 28.8 | 11.6
| SN(E/C) | 0.96
|
|
|
|
|
|
|
10230077
| 47
| | Red | Green | Blue
| z | | 19.02
| znorm | | 14.84
| sky | 14.9 | 14.8 | 14.7
| S/N | 14.3 | 23.3 | 24.8
| S/N(c) | 22.1 | 28.9 | 11.5
| SN(E/C) | 0.94
|
|
|
|
|
|
|
10230078
| 47
| | Red | Green | Blue
| z | | 18.96
| znorm | | 14.78
| sky | 14.9 | 14.7 | 14.8
| S/N | 13.8 | 23.1 | 23.7
| S/N(c) | 21.6 | 28.3 | 11.3
| SN(E/C) | 0.98
|
|
|
|
|
|
|
10230079
| 47
| | Red | Green | Blue
| z | | 19.02
| znorm | | 14.84
| sky | 14.9 | 14.8 | 14.8
| S/N | 14.1 | 23.8 | 24.5
| S/N(c) | 22.3 | 29.1 | 11.5
| SN(E/C) | 0.95
|
|
|
|
|
|
|
10230080
| 47
| | Red | Green | Blue
| z | | 18.93
| znorm | | 14.75
| sky | 15.2 | 14.8 | 14.7
| S/N | 13.4 | 22.4 | 23.3
| S/N(c) | 21.0 | 27.7 | 11.0
| SN(E/C) | 0.95
|
|
|
|
|
|
|