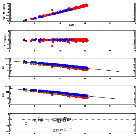
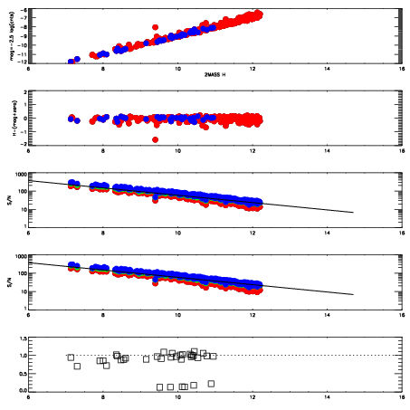
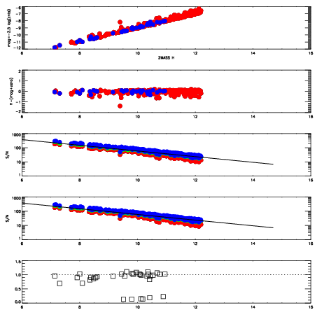
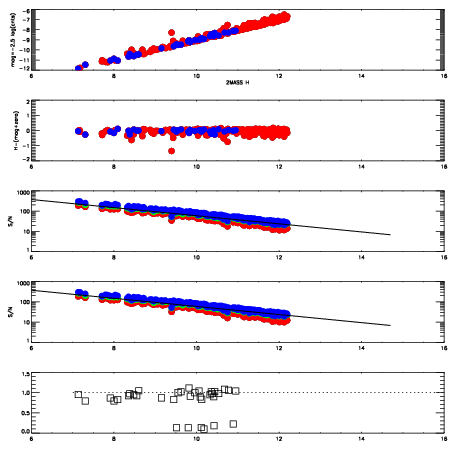
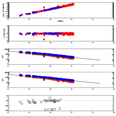
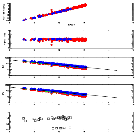
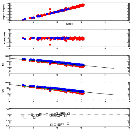
Frame | Nreads | Zeropoints | Mag plots
| Spatial mag deviation
| Spatial sky 16325A emission deviations (filled: sky, open: star)
| Spatial sky continuum emission
| Spatial sky telluric CO2 absorption deviations (filled: H < 10)
|
6950060
| 47
| | Red | Green | Blue
| z | | 19.00
| znorm | | 14.82
| sky | 14.8 | 14.3 | 14.1
| S/N | 15.6 | 24.5 | 25.5
| S/N(c) | 24.4 | 20.4 | 20.1
| SN(E/C) | 0.94
|
|
|
|
|
|
|
6950061
| 47
| | Red | Green | Blue
| z | | 18.96
| znorm | | 14.78
| sky | 14.8 | 14.4 | 14.6
| S/N | 15.1 | 24.2 | 25.2
| S/N(c) | 23.5 | 19.6 | 19.8
| SN(E/C) | 0.95
|
|
|
|
|
|
|
6950062
| 47
| | Red | Green | Blue
| z | | 19.01
| znorm | | 14.83
| sky | 14.8 | 14.3 | 14.5
| S/N | 15.6 | 24.5 | 25.6
| S/N(c) | 24.0 | 20.3 | 20.3
| SN(E/C) | 0.92
|
|
|
|
|
|
|
6950063
| 47
| | Red | Green | Blue
| z | | 18.99
| znorm | | 14.81
| sky | 15.0 | 14.5 | 14.5
| S/N | 15.4 | 24.3 | 25.6
| S/N(c) | 23.7 | 20.1 | 20.1
| SN(E/C) | 0.93
|
|
|
|
|
|
|
6950064
| 47
| | Red | Green | Blue
| z | | 19.03
| znorm | | 14.85
| sky | 14.8 | 14.5 | 14.5
| S/N | 15.4 | 24.7 | 26.0
| S/N(c) | 24.3 | 20.6 | 20.5
| SN(E/C) | 0.92
|
|
|
|
|
|
|
6950065
| 47
| | Red | Green | Blue
| z | | 19.04
| znorm | | 14.86
| sky | 14.6 | 14.5 | 14.4
| S/N | 15.6 | 25.1 | 26.8
| S/N(c) | 24.7 | 20.9 | 20.8
| SN(E/C) | 0.96
|
|
|
|
|
|
|
6950066
| 47
| | Red | Green | Blue
| z | | 19.07
| znorm | | 14.89
| sky | 14.7 | 14.5 | 14.4
| S/N | 15.9 | 25.4 | 27.3
| S/N(c) | 25.1 | 21.0 | 21.0
| SN(E/C) | 0.92
|
|
|
|
|
|
|
6950067
| 47
| | Red | Green | Blue
| z | | 19.11
| znorm | | 14.93
| sky | 14.6 | 14.5 | 14.4
| S/N | 16.4 | 25.8 | 27.6
| S/N(c) | 25.8 | 21.3 | 21.6
| SN(E/C) | 0.89
|
|
|
|
|
|
|