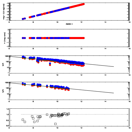
Left plots: red are targets, blue are telluric. Observed mags are calculated from median value of green chip. Zeropoint gives overall throughput: bigger number is more throughput.
First spatial plots: circles are objects, squares are tellurics, crosses are sky fibers. Colors give deviation of observed mag from expected 2MASS mag using the median zeropoint; red is brighter
Second spatial plots: circles are sky fibers. Colors give sky line brightness relative to plate median sky line brightness
FrameNreadsZeropointsMag plots Spatial mag deviation Spatial sky 16325A emission deviations (filled: sky, open: star) Spatial sky continuum emission Spatial sky telluric CO2 absorption deviations (filled: H < 10)
0 0
RedGreenBlue
z17.64
znorm Inf
sky -Inf -NaN -NaN
S/N 30.9 50.1 52.8
S/N(c) 0.0 0.0 0.0
SN(E/C) 0.91

IPAIRNAMESHIFTNEWSHIFTS/N NAMESHIFTNEWSHIFTS/N
0 10290032 0.488784 0.00000 19.1544 10290033 0.000127227 0.488657 19.2014
1 10290036 0.487292 0.00149199 19.1467 10290034 0.000768567 0.488015 19.1784
2 10290031 0.488471 0.000312984 19.1429 10290037 -0.00132550 0.490109 19.1658
3 10290035 0.487218 0.00156599 19.1281 10290030 0.00000 0.488784 19.0989