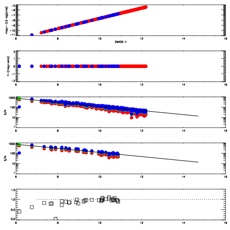
Left plots: red are targets, blue are telluric. Observed mags are calculated from median value of green chip. Zeropoint gives overall throughput: bigger number is more throughput.
First spatial plots: circles are objects, squares are tellurics, crosses are sky fibers. Colors give deviation of observed mag from expected 2MASS mag using the median zeropoint; red is brighter
Second spatial plots: circles are sky fibers. Colors give sky line brightness relative to plate median sky line brightness
FrameNreadsZeropointsMag plots Spatial mag deviation Spatial sky 16325A emission deviations (filled: sky, open: star) Spatial sky continuum emission Spatial sky telluric CO2 absorption deviations (filled: H < 10)
0 0
RedGreenBlue
z17.64
znorm Inf
sky -NaN -NaN -Inf
S/N 23.3 38.5 40.4
S/N(c) 0.0 0.0 0.0
SN(E/C) 0.94

IPAIRNAMESHIFTNEWSHIFTS/N NAMESHIFTNEWSHIFTS/N
0 07040013 0.469332 0.00000 18.7255 07040014 0.00121876 0.468113 18.5655
1 07040017 0.467319 0.00201300 18.8397 07040018 0.000767574 0.468564 18.9171
2 07040012 0.468691 0.000641018 18.8048 07040011 0.00000 0.469332 18.6883
3 07040016 0.467659 0.00167301 18.7513 07040015 -0.000685282 0.470017 18.6414