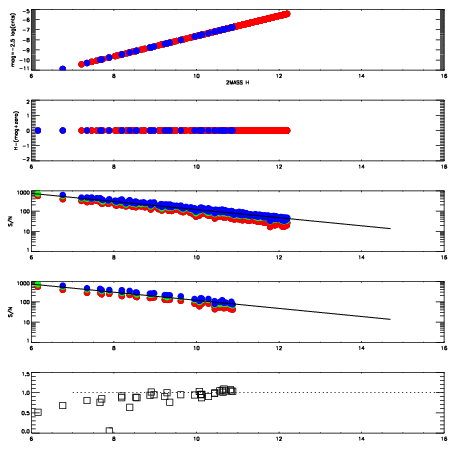
Left plots: red are targets, blue are telluric. Observed mags are calculated from median value of green chip. Zeropoint gives overall throughput: bigger number is more throughput.
First spatial plots: circles are objects, squares are tellurics, crosses are sky fibers. Colors give deviation of observed mag from expected 2MASS mag using the median zeropoint; red is brighter
Second spatial plots: circles are sky fibers. Colors give sky line brightness relative to plate median sky line brightness
FrameNreadsZeropointsMag plots Spatial mag deviation Spatial sky 16325A emission deviations (filled: sky, open: star) Spatial sky continuum emission Spatial sky telluric CO2 absorption deviations (filled: H < 10)
0 0
RedGreenBlue
z17.64
znorm Inf
sky -NaN -NaN -Inf
S/N 22.4 39.1 43.5
S/N(c) 0.0 0.0 0.0
SN(E/C) 0.94

IPAIRNAMESHIFTNEWSHIFTS/N NAMESHIFTNEWSHIFTS/N
0 07500048 0.493129 0.00000 18.7849 07500042 0.00000 0.493129 18.7358
1 07500044 0.492241 0.000887990 18.7908 07500046 0.00585966 0.487269 18.8066
2 07500047 0.492333 0.000795990 18.7891 07500049 0.00869630 0.484433 18.7898
3 07500043 0.491041 0.00208798 18.7393 07500045 0.00397459 0.489154 18.7192