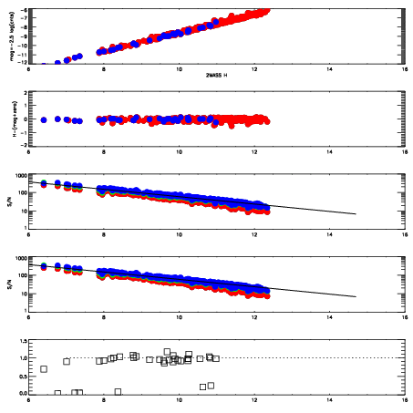
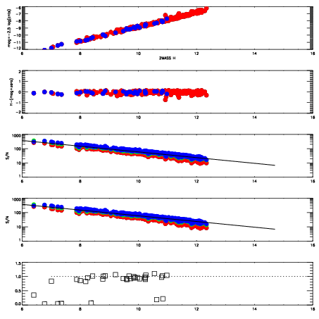
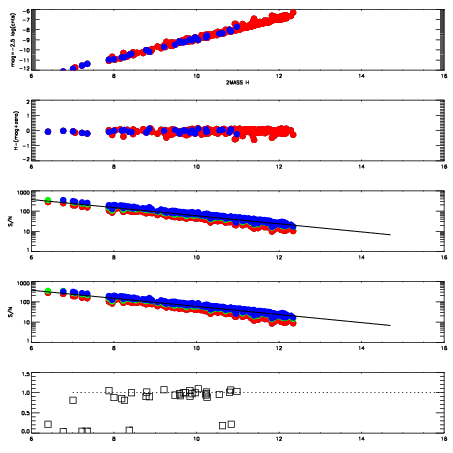
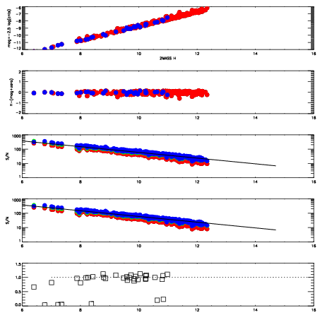
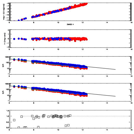
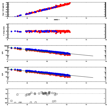
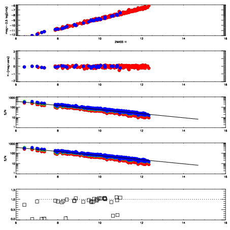
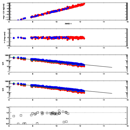
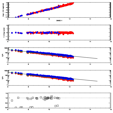
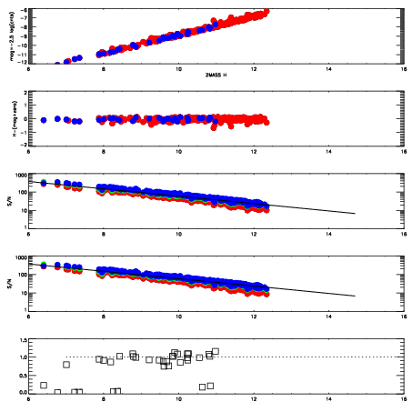
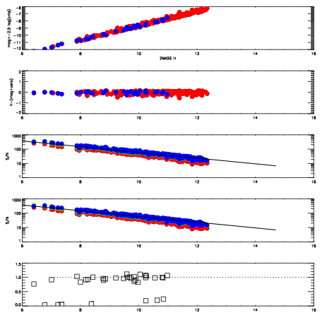
Frame | Nreads | Zeropoints | Mag plots
| Spatial mag deviation
| Spatial sky 16325A emission deviations (filled: sky, open: star)
| Spatial sky continuum emission
| Spatial sky telluric CO2 absorption deviations (filled: H < 10)
|
10790080
| 47
| | Red | Green | Blue
| z | | 18.72
| znorm | | 14.54
| sky | 14.9 | 14.3 | 14.3
| S/N | 12.2 | 20.2 | 20.7
| S/N(c) | 12.7 | 4.3 | 5.9
| SN(E/C) | 0.96
|
|
|
|
|
|
|
10790081
| 47
| | Red | Green | Blue
| z | | 18.75
| znorm | | 14.57
| sky | 14.7 | 14.3 | 14.6
| S/N | 12.3 | 20.3 | 21.2
| S/N(c) | 12.8 | 4.4 | 6.1
| SN(E/C) | 0.96
|
|
|
|
|
|
|
10790082
| 47
| | Red | Green | Blue
| z | | 18.72
| znorm | | 14.54
| sky | 14.7 | 14.4 | 14.5
| S/N | 12.2 | 20.0 | 21.1
| S/N(c) | 12.5 | 4.4 | 6.0
| SN(E/C) | 0.95
|
|
|
|
|
|
|
10790083
| 47
| | Red | Green | Blue
| z | | 18.67
| znorm | | 14.49
| sky | 14.7 | 14.5 | 14.5
| S/N | 11.7 | 19.8 | 20.1
| S/N(c) | 12.2 | 4.2 | 5.8
| SN(E/C) | 0.95
|
|
|
|
|
|
|
10790084
| 47
| | Red | Green | Blue
| z | | 18.77
| znorm | | 14.59
| sky | 14.8 | 14.6 | 14.5
| S/N | 12.6 | 21.0 | 21.7
| S/N(c) | 13.2 | 4.5 | 6.2
| SN(E/C) | 0.96
|
|
|
|
|
|
|
10790085
| 47
| | Red | Green | Blue
| z | | 18.77
| znorm | | 14.59
| sky | 14.7 | 14.6 | 14.6
| S/N | 12.7 | 21.2 | 21.6
| S/N(c) | 13.1 | 4.5 | 6.2
| SN(E/C) | 0.93
|
|
|
|
|
|
|
10790086
| 47
| | Red | Green | Blue
| z | | 18.88
| znorm | | 14.70
| sky | 14.8 | 14.5 | 14.5
| S/N | 13.4 | 22.4 | 23.1
| S/N(c) | 13.9 | 4.7 | 6.5
| SN(E/C) | 0.92
|
|
|
|
|
|
|
10790087
| 47
| | Red | Green | Blue
| z | | 18.93
| znorm | | 14.75
| sky | 14.8 | 14.5 | 14.4
| S/N | 13.8 | 23.0 | 23.7
| S/N(c) | 14.2 | 4.8 | 6.7
| SN(E/C) | 0.94
|
|
|
|
|
|
|
10790088
| 47
| | Red | Green | Blue
| z | | 18.89
| znorm | | 14.71
| sky | 14.6 | 14.5 | 14.4
| S/N | 13.4 | 22.6 | 23.5
| S/N(c) | 14.0 | 4.8 | 6.6
| SN(E/C) | 0.96
|
|
|
|
|
|
|
10790089
| 47
| | Red | Green | Blue
| z | | 18.90
| znorm | | 14.72
| sky | 14.8 | 14.5 | 14.5
| S/N | 13.6 | 22.6 | 23.5
| S/N(c) | 14.3 | 4.8 | 6.7
| SN(E/C) | 0.92
|
|
|
|
|
|
|
10790090
| 47
| | Red | Green | Blue
| z | | 18.86
| znorm | | 14.68
| sky | 14.8 | 14.5 | 14.3
| S/N | 13.6 | 22.3 | 23.1
| S/N(c) | 14.0 | 4.7 | 6.5
| SN(E/C) | 0.93
|
|
|
|
|
|
|
10790091
| 47
| | Red | Green | Blue
| z | | 18.86
| znorm | | 14.68
| sky | 14.6 | 14.3 | 14.3
| S/N | 13.1 | 22.0 | 22.8
| S/N(c) | 13.8 | 4.7 | 6.5
| SN(E/C) | 0.99
|
|
|
|
|
|
|