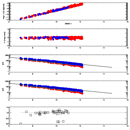
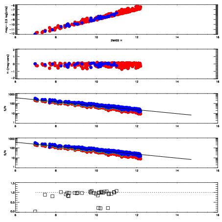
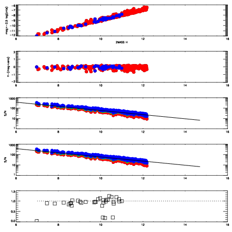
Frame | Nreads | Zeropoints | Mag plots
| Spatial mag deviation
| Spatial sky 16325A emission deviations (filled: sky, open: star)
| Spatial sky continuum emission
| Spatial sky telluric CO2 absorption deviations (filled: H < 10)
|
7850026
| 47
| | Red | Green | Blue
| z | | 18.92
| znorm | | 14.74
| sky | 14.3 | 14.1 | 13.9
| S/N | 13.2 | 21.4 | 22.0
| S/N(c) | 14.2 | 17.8 | 4.7
| SN(E/C) | 0.97
|
|
|
|
|
|
|
7850027
| 47
| | Red | Green | Blue
| z | | 18.89
| znorm | | 14.71
| sky | 14.5 | 14.2 | 14.1
| S/N | 13.6 | 22.1 | 23.4
| S/N(c) | 13.9 | 17.7 | 4.7
| SN(E/C) | 0.97
|
|
|
|
|
|
|
7850028
| 47
| | Red | Green | Blue
| z | | 18.87
| znorm | | 14.69
| sky | 14.6 | 14.2 | 14.1
| S/N | 13.5 | 22.4 | 23.3
| S/N(c) | 13.8 | 17.9 | 4.6
| SN(E/C) | 0.95
|
|
|
|
|
|
|
7850029
| 47
| | Red | Green | Blue
| z | | 18.99
| znorm | | 14.81
| sky | 14.5 | 14.3 | 14.1
| S/N | 14.9 | 23.6 | 25.2
| S/N(c) | 15.0 | 18.9 | 4.9
| SN(E/C) | 0.96
|
|
|
|
|
|
|
7850030
| 47
| | Red | Green | Blue
| z | | 18.89
| znorm | | 14.71
| sky | 14.8 | 14.4 | 14.2
| S/N | 13.4 | 22.1 | 23.3
| S/N(c) | 14.2 | 18.0 | 4.7
| SN(E/C) | 0.98
|
|
|
|
|
|
|
7850031
| 47
| | Red | Green | Blue
| z | | 18.86
| znorm | | 14.68
| sky | 15.0 | 14.6 | 14.4
| S/N | 13.5 | 21.7 | 23.2
| S/N(c) | 14.0 | 17.7 | 4.6
| SN(E/C) | 0.96
|
|
|
|
|
|
|
7850032
| 47
| | Red | Green | Blue
| z | | 18.67
| znorm | | 14.49
| sky | 14.8 | 14.7 | 14.4
| S/N | 11.9 | 19.7 | 21.3
| S/N(c) | 12.6 | 16.4 | 4.2
| SN(E/C) | 0.98
|
|
|
|
|
|
|
7850033
| 47
| | Red | Green | Blue
| z | | 18.93
| znorm | | 14.75
| sky | 14.7 | 14.5 | 14.4
| S/N | 14.2 | 23.2 | 25.1
| S/N(c) | 14.6 | 18.5 | 4.8
| SN(E/C) | 0.95
|
|
|
|
|
|
|