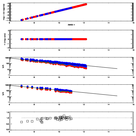
Left plots: red are targets, blue are telluric. Observed mags are calculated from median value of green chip. Zeropoint gives overall throughput: bigger number is more throughput.
First spatial plots: circles are objects, squares are tellurics, crosses are sky fibers. Colors give deviation of observed mag from expected 2MASS mag using the median zeropoint; red is brighter
Second spatial plots: circles are sky fibers. Colors give sky line brightness relative to plate median sky line brightness
FrameNreadsZeropointsMag plots Spatial mag deviation Spatial sky 16325A emission deviations (filled: sky, open: star) Spatial sky continuum emission Spatial sky telluric CO2 absorption deviations (filled: H < 10)
0 0
RedGreenBlue
z17.64
znorm Inf
sky -Inf -Inf -Inf
S/N 23.9 40.5 42.8
S/N(c) 0.0 0.0 0.0
SN(E/C) 0.96

IPAIRNAMESHIFTNEWSHIFTS/N NAMESHIFTNEWSHIFTS/N
0 07850032 0.471338 0.00000 18.6441 07850026 0.00000 0.471338 18.8717
1 07850027 0.470792 0.000546008 18.8637 07850029 -0.00270213 0.474040 18.9651
2 07850028 0.470166 0.00117201 18.8512 07850033 -0.00182555 0.473164 18.9086
3 07850031 0.470202 0.00113600 18.8341 07850030 -0.00297480 0.474313 18.8734