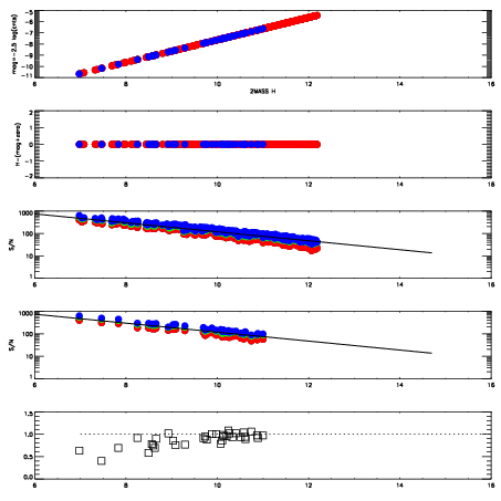
Left plots: red are targets, blue are telluric. Observed mags are calculated from median value of green chip. Zeropoint gives overall throughput: bigger number is more throughput.
First spatial plots: circles are objects, squares are tellurics, crosses are sky fibers. Colors give deviation of observed mag from expected 2MASS mag using the median zeropoint; red is brighter
Second spatial plots: circles are sky fibers. Colors give sky line brightness relative to plate median sky line brightness
FrameNreadsZeropointsMag plots Spatial mag deviation Spatial sky 16325A emission deviations (filled: sky, open: star) Spatial sky continuum emission Spatial sky telluric CO2 absorption deviations (filled: H < 10)
0 0
RedGreenBlue
z17.63
znorm Inf
sky -NaN -NaN -Inf
S/N 26.3 43.5 47.4
S/N(c) 0.0 0.0 0.0
SN(E/C) 0.92

IPAIRNAMESHIFTNEWSHIFTS/N NAMESHIFTNEWSHIFTS/N
0 07900017 0.469359 0.00000 18.9686 07900015 0.00116766 0.468191 18.9795
1 07900016 0.469085 0.000274003 18.9491 07900014 -0.000920026 0.470279 18.9710
2 07900013 0.469351 8.01682e-06 18.9448 07900018 0.00223384 0.467125 18.9565
3 07900012 0.467986 0.00137302 18.8845 07900011 0.00000 0.469359 18.9442