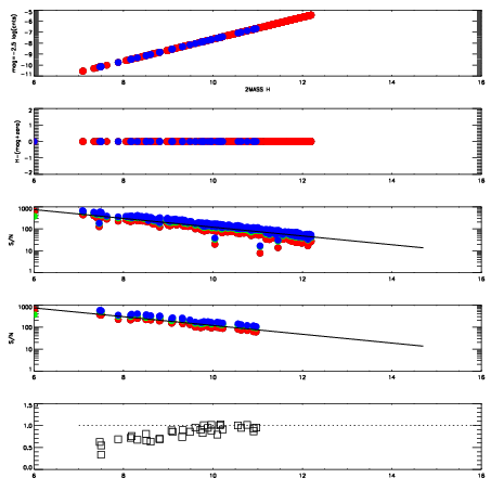
Left plots: red are targets, blue are telluric. Observed mags are calculated from median value of green chip. Zeropoint gives overall throughput: bigger number is more throughput.
First spatial plots: circles are objects, squares are tellurics, crosses are sky fibers. Colors give deviation of observed mag from expected 2MASS mag using the median zeropoint; red is brighter
Second spatial plots: circles are sky fibers. Colors give sky line brightness relative to plate median sky line brightness
FrameNreadsZeropointsMag plots Spatial mag deviation Spatial sky 16325A emission deviations (filled: sky, open: star) Spatial sky continuum emission Spatial sky telluric CO2 absorption deviations (filled: H < 10)
0 0
RedGreenBlue
z17.64
znorm Inf
sky -Inf -NaN -Inf
S/N 28.5 48.0 51.5
S/N(c) 0.0 0.0 0.0
SN(E/C) 0.87

IPAIRNAMESHIFTNEWSHIFTS/N NAMESHIFTNEWSHIFTS/N
0 06980061 0.482165 0.00000 19.1322 06980062 0.000841724 0.481323 19.1404
1 06980065 0.480254 0.00191101 19.1581 06980066 -0.000721783 0.482887 19.1733
2 06980064 0.479897 0.00226802 19.1430 06980063 0.000325715 0.481839 19.1561
3 06980060 0.480798 0.00136700 19.1147 06980059 0.00000 0.482165 19.0920