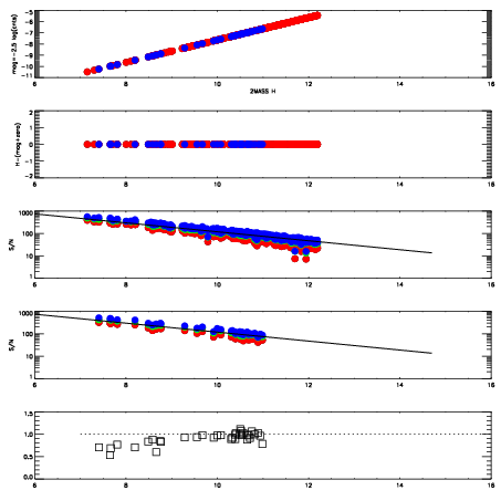
Left plots: red are targets, blue are telluric. Observed mags are calculated from median value of green chip. Zeropoint gives overall throughput: bigger number is more throughput.
First spatial plots: circles are objects, squares are tellurics, crosses are sky fibers. Colors give deviation of observed mag from expected 2MASS mag using the median zeropoint; red is brighter
Second spatial plots: circles are sky fibers. Colors give sky line brightness relative to plate median sky line brightness
FrameNreadsZeropointsMag plots Spatial mag deviation Spatial sky 16325A emission deviations (filled: sky, open: star) Spatial sky continuum emission Spatial sky telluric CO2 absorption deviations (filled: H < 10)
0 0
RedGreenBlue
z17.64
znorm Inf
sky -NaN -Inf -Inf
S/N 24.6 42.5 45.1
S/N(c) 0.0 0.0 0.0
SN(E/C) 0.93

IPAIRNAMESHIFTNEWSHIFTS/N NAMESHIFTNEWSHIFTS/N
0 11110046 0.476485 0.00000 18.8193 11110044 0.00000 0.476485 18.7720
1 11110050 0.473084 0.00340101 18.9371 11110051 -0.00347829 0.479963 18.9508
2 11110049 0.473351 0.00313401 18.9273 11110048 -0.00184245 0.478327 18.9352
3 11110045 0.475401 0.00108400 18.8360 11110047 -0.000455612 0.476941 18.8796