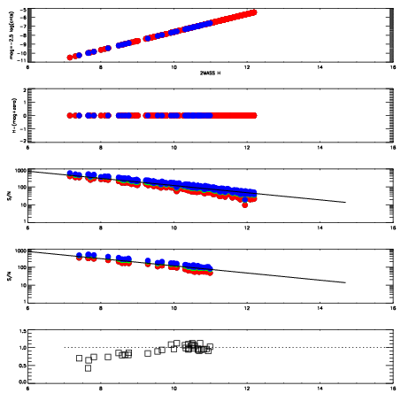
Left plots: red are targets, blue are telluric. Observed mags are calculated from median value of green chip. Zeropoint gives overall throughput: bigger number is more throughput.
First spatial plots: circles are objects, squares are tellurics, crosses are sky fibers. Colors give deviation of observed mag from expected 2MASS mag using the median zeropoint; red is brighter
Second spatial plots: circles are sky fibers. Colors give sky line brightness relative to plate median sky line brightness
FrameNreadsZeropointsMag plots Spatial mag deviation Spatial sky 16325A emission deviations (filled: sky, open: star) Spatial sky continuum emission Spatial sky telluric CO2 absorption deviations (filled: H < 10)
0 0
RedGreenBlue
z17.64
znorm Inf
sky -Inf -Inf -Inf
S/N 26.1 45.2 47.0
S/N(c) 0.0 0.0 0.0
SN(E/C) 0.94

IPAIRNAMESHIFTNEWSHIFTS/N NAMESHIFTNEWSHIFTS/N
0 11380043 0.473851 0.00000 19.0200 11380040 -0.00153490 0.475386 19.0337
1 11380039 0.472910 0.000941008 18.9770 11380041 -0.00144044 0.475291 18.9962
2 11380042 0.473478 0.000373006 18.9724 11380044 -0.000521625 0.474373 18.9504
3 11380038 0.472475 0.00137600 18.9669 11380037 0.00000 0.473851 18.9227