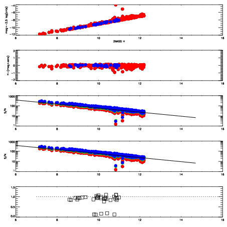
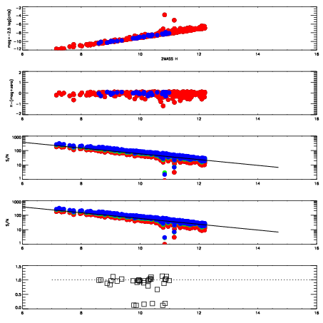
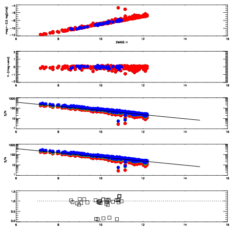
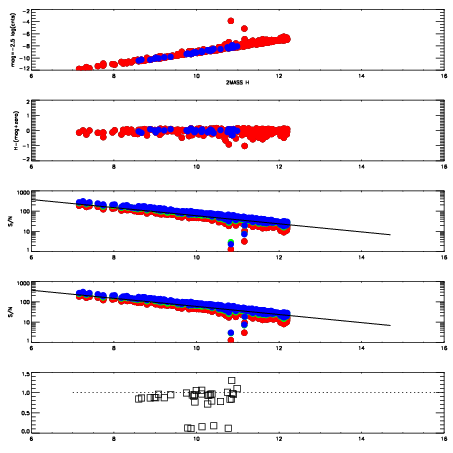
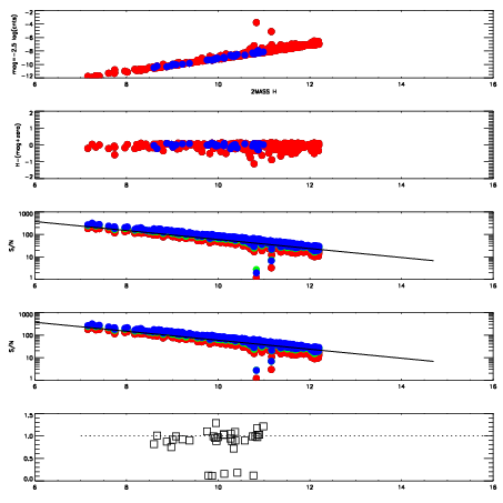
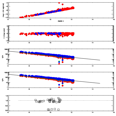
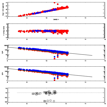
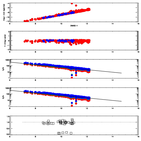
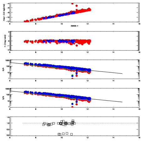
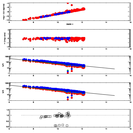
Frame | Nreads | Zeropoints | Mag plots
| Spatial mag deviation
| Spatial sky 16325A emission deviations (filled: sky, open: star)
| Spatial sky continuum emission
| Spatial sky telluric CO2 absorption deviations (filled: H < 10)
|
11040060
| 47
| | Red | Green | Blue
| z | | 18.97
| znorm | | 14.79
| sky | 14.8 | 14.5 | 14.3
| S/N | 13.6 | 21.5 | 23.0
| S/N(c) | 12.7 | 12.8 | 8.6
| SN(E/C) | 0.96
|
|
|
|
|
|
|
11040061
| 47
| | Red | Green | Blue
| z | | 19.09
| znorm | | 14.91
| sky | 14.8 | 14.7 | 14.5
| S/N | 14.7 | 22.9 | 25.2
| S/N(c) | 13.4 | 13.6 | 9.2
| SN(E/C) | 0.95
|
|
|
|
|
|
|
11040062
| 47
| | Red | Green | Blue
| z | | 19.09
| znorm | | 14.91
| sky | 14.8 | 14.6 | 14.6
| S/N | 14.4 | 23.5 | 25.0
| S/N(c) | 13.4 | 13.5 | 9.2
| SN(E/C) | 0.96
|
|
|
|
|
|
|
11040063
| 47
| | Red | Green | Blue
| z | | 19.09
| znorm | | 14.91
| sky | 15.1 | 14.6 | 14.5
| S/N | 14.6 | 23.5 | 25.1
| S/N(c) | 13.5 | 13.6 | 9.2
| SN(E/C) | 0.97
|
|
|
|
|
|
|
11040064
| 47
| | Red | Green | Blue
| z | | 19.10
| znorm | | 14.92
| sky | 15.0 | 14.7 | 14.6
| S/N | 14.9 | 23.7 | 25.4
| S/N(c) | 13.6 | 13.6 | 9.3
| SN(E/C) | 0.93
|
|
|
|
|
|
|
11040065
| 47
| | Red | Green | Blue
| z | | 19.08
| znorm | | 14.90
| sky | 14.7 | 14.7 | 14.6
| S/N | 14.7 | 23.7 | 25.1
| S/N(c) | 13.3 | 13.3 | 9.2
| SN(E/C) | 0.91
|
|
|
|
|
|
|
11040066
| 47
| | Red | Green | Blue
| z | | 19.04
| znorm | | 14.86
| sky | 14.7 | 14.8 | 14.7
| S/N | 14.2 | 23.5 | 25.2
| S/N(c) | 13.1 | 13.0 | 8.9
| SN(E/C) | 0.92
|
|
|
|
|
|
|
11040067
| 47
| | Red | Green | Blue
| z | | 19.08
| znorm | | 14.90
| sky | 15.2 | 14.7 | 14.7
| S/N | 14.7 | 23.9 | 25.7
| S/N(c) | 13.3 | 13.4 | 9.1
| SN(E/C) | 0.91
|
|
|
|
|
|
|
11040068
| 47
| | Red | Green | Blue
| z | | 19.03
| znorm | | 14.85
| sky | 14.9 | 14.7 | 14.7
| S/N | 13.9 | 23.4 | 24.9
| S/N(c) | 13.0 | 12.9 | 8.9
| SN(E/C) | 0.94
|
|
|
|
|
|
|
11040069
| 47
| | Red | Green | Blue
| z | | 19.06
| znorm | | 14.88
| sky | 14.8 | 14.7 | 14.6
| S/N | 14.5 | 24.2 | 25.4
| S/N(c) | 13.3 | 13.3 | 9.1
| SN(E/C) | 0.93
|
|
|
|
|
|
|
11040070
| 47
| | Red | Green | Blue
| z | | 19.12
| znorm | | 14.94
| sky | 14.9 | 14.8 | 14.6
| S/N | 14.9 | 24.6 | 26.2
| S/N(c) | 13.7 | 13.5 | 9.3
| SN(E/C) | 0.95
|
|
|
|
|
|
|
11040071
| 47
| | Red | Green | Blue
| z | | 19.07
| znorm | | 14.89
| sky | 14.9 | 14.8 | 14.7
| S/N | 14.3 | 24.0 | 25.4
| S/N(c) | 13.1 | 13.2 | 9.0
| SN(E/C) | 0.97
|
|
|
|
|
|
|