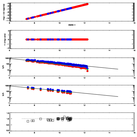
Left plots: red are targets, blue are telluric. Observed mags are calculated from median value of green chip. Zeropoint gives overall throughput: bigger number is more throughput.
First spatial plots: circles are objects, squares are tellurics, crosses are sky fibers. Colors give deviation of observed mag from expected 2MASS mag using the median zeropoint; red is brighter
Second spatial plots: circles are sky fibers. Colors give sky line brightness relative to plate median sky line brightness
FrameNreadsZeropointsMag plots Spatial mag deviation Spatial sky 16325A emission deviations (filled: sky, open: star) Spatial sky continuum emission Spatial sky telluric CO2 absorption deviations (filled: H < 10)
0 0
RedGreenBlue
z17.64
znorm Inf
sky -NaN -Inf -Inf
S/N 22.5 39.0 39.9
S/N(c) 0.0 0.0 0.0
SN(E/C) 0.98

IPAIRNAMESHIFTNEWSHIFTS/N NAMESHIFTNEWSHIFTS/N
0 07840032 0.473351 0.00000 18.8402 07840029 -0.00320920 0.476560 18.8082
1 07840031 0.472807 0.000544012 18.9178 07840030 -0.00199636 0.475347 18.8430
2 07840028 0.472078 0.00127301 18.7659 07840033 0.000649587 0.472701 18.7576
3 07840027 0.471750 0.00160101 18.7434 07840026 0.00000 0.473351 18.7336