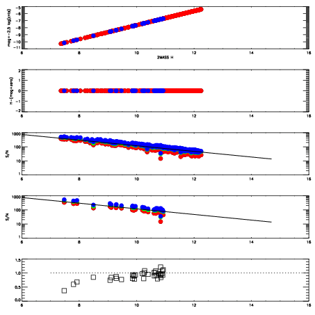
Left plots: red are targets, blue are telluric. Observed mags are calculated from median value of green chip. Zeropoint gives overall throughput: bigger number is more throughput.
First spatial plots: circles are objects, squares are tellurics, crosses are sky fibers. Colors give deviation of observed mag from expected 2MASS mag using the median zeropoint; red is brighter
Second spatial plots: circles are sky fibers. Colors give sky line brightness relative to plate median sky line brightness
FrameNreadsZeropointsMag plots Spatial mag deviation Spatial sky 16325A emission deviations (filled: sky, open: star) Spatial sky continuum emission Spatial sky telluric CO2 absorption deviations (filled: H < 10)
0 0
RedGreenBlue
z17.64
znorm Inf
sky -NaN -Inf -Inf
S/N 27.1 47.5 48.9
S/N(c) 0.0 0.0 0.0
SN(E/C) 0.91

IPAIRNAMESHIFTNEWSHIFTS/N NAMESHIFTNEWSHIFTS/N
0 10240098 0.496642 0.00000 19.1666 10240099 0.000370905 0.496271 19.1876
1 10240097 0.496114 0.000528008 19.0815 10240096 -0.000485170 0.497127 19.0868
2 10240093 0.495183 0.00145900 19.0635 10240092 0.00000 0.496642 19.0829
3 10240094 0.494827 0.00181499 19.0412 10240095 4.48007e-05 0.496597 19.0453