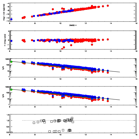
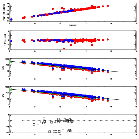
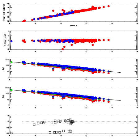
Frame | Nreads | Zeropoints | Mag plots
| Spatial mag deviation
| Spatial sky 16325A emission deviations (filled: sky, open: star)
| Spatial sky continuum emission
| Spatial sky telluric CO2 absorption deviations (filled: H < 10)
|
6930073
| 47
| | Red | Green | Blue
| z | | 19.18
| znorm | | 15.00
| sky | 15.2 | 14.9 | 14.9
| S/N | 17.7 | 27.3 | 29.5
| S/N(c) | 27.2 | 23.0 | 16.1
| SN(E/C) | 0.91
|
|
|
|
|
|
|
6930074
| 47
| | Red | Green | Blue
| z | | 19.21
| znorm | | 15.03
| sky | 15.5 | 15.1 | 15.4
| S/N | 17.8 | 27.7 | 29.8
| S/N(c) | 27.2 | 23.3 | 16.4
| SN(E/C) | 0.91
|
|
|
|
|
|
|
6930075
| 47
| | Red | Green | Blue
| z | | 19.12
| znorm | | 14.94
| sky | 15.1 | 15.1 | 15.3
| S/N | 16.8 | 26.6 | 28.9
| S/N(c) | 26.2 | 22.3 | 15.8
| SN(E/C) | 0.93
|
|
|
|
|
|
|
6930076
| 47
| | Red | Green | Blue
| z | | 19.07
| znorm | | 14.89
| sky | 16.3 | 15.3 | 15.4
| S/N | 16.5 | 25.7 | 28.2
| S/N(c) | 25.2 | 21.9 | 15.3
| SN(E/C) | 0.89
|
|
|
|
|
|
|
6930077
| 47
| | Red | Green | Blue
| z | | 19.10
| znorm | | 14.92
| sky | 16.0 | 15.2 | 15.3
| S/N | 16.6 | 26.3 | 28.5
| S/N(c) | 25.7 | 21.8 | 15.6
| SN(E/C) | 0.96
|
|
|
|
|
|
|
6930078
| 47
| | Red | Green | Blue
| z | | 19.12
| znorm | | 14.94
| sky | 15.2 | 15.2 | 15.6
| S/N | 16.9 | 26.3 | 29.2
| S/N(c) | 26.1 | 22.4 | 15.8
| SN(E/C) | 0.96
|
|
|
|
|
|
|
6930079
| 47
| | Red | Green | Blue
| z | | 19.02
| znorm | | 14.84
| sky | 15.4 | 15.2 | 15.5
| S/N | 15.8 | 24.8 | 27.9
| S/N(c) | 24.3 | 21.2 | 15.0
| SN(E/C) | 0.93
|
|
|
|
|
|
|
6930080
| 47
| | Red | Green | Blue
| z | | 19.15
| znorm | | 14.97
| sky | 15.6 | 15.4 | 15.4
| S/N | 17.1 | 26.9 | 29.9
| S/N(c) | 26.3 | 22.7 | 16.0
| SN(E/C) | 0.93
|
|
|
|
|
|
|