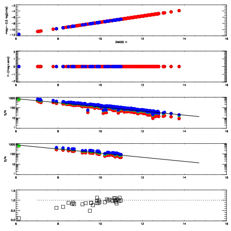
Left plots: red are targets, blue are telluric. Observed mags are calculated from median value of green chip. Zeropoint gives overall throughput: bigger number is more throughput.
First spatial plots: circles are objects, squares are tellurics, crosses are sky fibers. Colors give deviation of observed mag from expected 2MASS mag using the median zeropoint; red is brighter
Second spatial plots: circles are sky fibers. Colors give sky line brightness relative to plate median sky line brightness
FrameNreadsZeropointsMag plots Spatial mag deviation Spatial sky 16325A emission deviations (filled: sky, open: star) Spatial sky continuum emission Spatial sky telluric CO2 absorption deviations (filled: H < 10)
0 0
RedGreenBlue
z17.64
znorm Inf
sky -Inf -Inf -Inf
S/N 30.2 49.0 54.4
S/N(c) 0.0 0.0 0.0
SN(E/C) 0.91

IPAIRNAMESHIFTNEWSHIFTS/N NAMESHIFTNEWSHIFTS/N
0 06930075 0.491842 0.00000 19.1068 06930077 0.000560908 0.491281 19.0876
1 06930074 0.490294 0.00154799 19.1936 06930073 0.00000 0.491842 19.1710
2 06930078 0.490413 0.00142899 19.1144 06930080 0.00150472 0.490337 19.1382
3 06930079 0.491550 0.000292003 19.0063 06930076 0.00156681 0.490275 19.0587