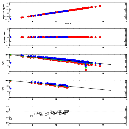
Left plots: red are targets, blue are telluric. Observed mags are calculated from median value of green chip. Zeropoint gives overall throughput: bigger number is more throughput.
First spatial plots: circles are objects, squares are tellurics, crosses are sky fibers. Colors give deviation of observed mag from expected 2MASS mag using the median zeropoint; red is brighter
Second spatial plots: circles are sky fibers. Colors give sky line brightness relative to plate median sky line brightness
FrameNreadsZeropointsMag plots Spatial mag deviation Spatial sky 16325A emission deviations (filled: sky, open: star) Spatial sky continuum emission Spatial sky telluric CO2 absorption deviations (filled: H < 10)
0 0
RedGreenBlue
z17.64
znorm Inf
sky -NaN -Inf -Inf
S/N 30.4 53.0 56.9
S/N(c) 0.0 0.0 0.0
SN(E/C) 0.92

IPAIRNAMESHIFTNEWSHIFTS/N NAMESHIFTNEWSHIFTS/N
0 06940073 0.497247 0.00000 19.0053 06940079 -0.00141221 0.498659 19.0143
1 06940074 0.497123 0.000124007 19.0871 06940076 -0.00149785 0.498745 19.0858
2 06940078 0.495397 0.00185001 19.0841 06940083 -0.00134796 0.498595 19.0785
3 06940082 0.494295 0.00295201 19.0688 06940072 0.00000 0.497247 19.0522
4 06940081 0.494015 0.00323200 19.0306 06940075 -0.00172808 0.498975 19.0160
5 06940077 0.495117 0.00213000 18.9982 06940080 0.000487286 0.496760 18.9753