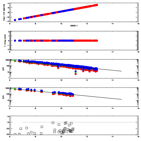
Left plots: red are targets, blue are telluric. Observed mags are calculated from median value of green chip. Zeropoint gives overall throughput: bigger number is more throughput.
First spatial plots: circles are objects, squares are tellurics, crosses are sky fibers. Colors give deviation of observed mag from expected 2MASS mag using the median zeropoint; red is brighter
Second spatial plots: circles are sky fibers. Colors give sky line brightness relative to plate median sky line brightness
FrameNreadsZeropointsMag plots Spatial mag deviation Spatial sky 16325A emission deviations (filled: sky, open: star) Spatial sky continuum emission Spatial sky telluric CO2 absorption deviations (filled: H < 10)
0 0
RedGreenBlue
z17.64
znorm Inf
sky -Inf -Inf -NaN
S/N 28.4 47.8 52.6
S/N(c) 0.0 0.0 0.0
SN(E/C) 0.33

IPAIRNAMESHIFTNEWSHIFTS/N NAMESHIFTNEWSHIFTS/N
0 10440031 0.502325 0.00000 19.1401 10440032 0.00265323 0.499672 19.1285
1 10440030 0.501766 0.000558972 19.0852 10440028 0.00101958 0.501305 19.0675
2 10440026 0.500903 0.00142199 19.0812 10440029 0.000873062 0.501452 19.0567
3 10440027 0.500848 0.00147700 19.0273 10440025 0.00000 0.502325 18.9886