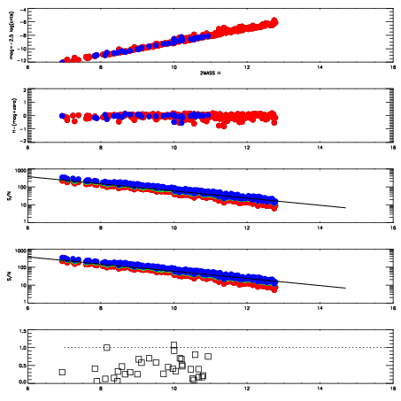
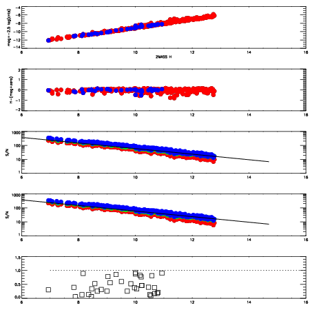
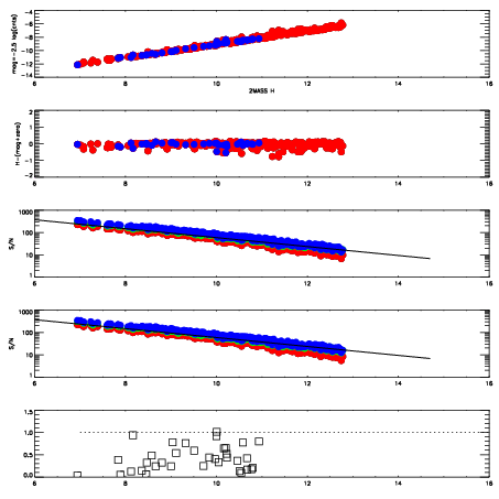
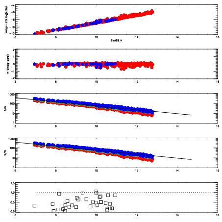
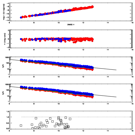
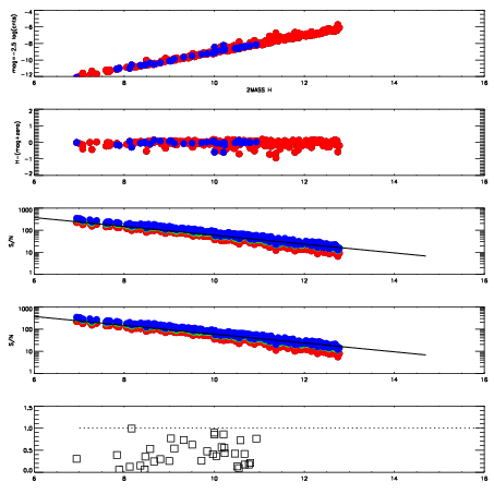
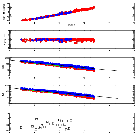
Frame | Nreads | Zeropoints | Mag plots
| Spatial mag deviation
| Spatial sky 16325A emission deviations (filled: sky, open: star)
| Spatial sky continuum emission
| Spatial sky telluric CO2 absorption deviations (filled: H < 10)
|
10160050
| 47
| | Red | Green | Blue
| z | | 19.06
| znorm | | 14.88
| sky | 14.7 | 14.3 | 14.4
| S/N | 15.2 | 24.5 | 26.3
| S/N(c) | 24.4 | 16.6 | 13.4
| SN(E/C) | 0.41
|
|
|
|
|
|
|
10160051
| 47
| | Red | Green | Blue
| z | | 19.04
| znorm | | 14.86
| sky | 14.6 | 14.4 | 14.5
| S/N | 14.9 | 24.2 | 25.8
| S/N(c) | 24.0 | 16.6 | 13.5
| SN(E/C) | 0.40
|
|
|
|
|
|
|
10160052
| 47
| | Red | Green | Blue
| z | | 19.02
| znorm | | 14.84
| sky | 14.9 | 14.6 | 14.6
| S/N | 14.6 | 24.0 | 25.6
| S/N(c) | 24.0 | 16.5 | 13.5
| SN(E/C) | 0.39
|
|
|
|
|
|
|
10160053
| 47
| | Red | Green | Blue
| z | | 19.00
| znorm | | 14.82
| sky | 14.8 | 14.6 | 14.6
| S/N | 14.5 | 24.0 | 25.6
| S/N(c) | 23.4 | 16.3 | 13.2
| SN(E/C) | 0.40
|
|
|
|
|
|
|
10160054
| 47
| | Red | Green | Blue
| z | | 19.10
| znorm | | 14.92
| sky | 14.8 | 14.5 | 14.4
| S/N | 15.6 | 25.4 | 26.9
| S/N(c) | 24.8 | 17.2 | 13.9
| SN(E/C) | 0.38
|
|
|
|
|
|
|
10160055
| 47
| | Red | Green | Blue
| z | | 19.09
| znorm | | 14.91
| sky | 14.8 | 14.6 | 14.5
| S/N | 15.3 | 25.0 | 26.5
| S/N(c) | 24.5 | 17.0 | 13.9
| SN(E/C) | 0.38
|
|
|
|
|
|
|
10160056
| 47
| | Red | Green | Blue
| z | | 19.11
| znorm | | 14.93
| sky | 14.8 | 14.6 | 14.5
| S/N | 15.4 | 25.9 | 27.0
| S/N(c) | 24.9 | 17.3 | 14.0
| SN(E/C) | 0.39
|
|
|
|
|
|
|
10160057
| 47
| | Red | Green | Blue
| z | | 18.87
| znorm | | 14.69
| sky | 14.6 | 14.4 | 14.4
| S/N | 12.9 | 22.3 | 23.4
| S/N(c) | 21.7 | 15.2 | 12.5
| SN(E/C) | 0.42
|
|
|
|
|
|
|