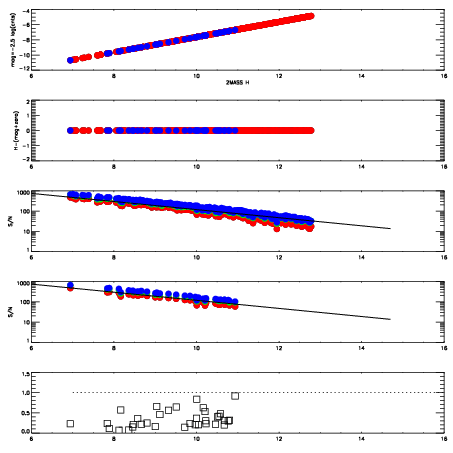
Left plots: red are targets, blue are telluric. Observed mags are calculated from median value of green chip. Zeropoint gives overall throughput: bigger number is more throughput.
First spatial plots: circles are objects, squares are tellurics, crosses are sky fibers. Colors give deviation of observed mag from expected 2MASS mag using the median zeropoint; red is brighter
Second spatial plots: circles are sky fibers. Colors give sky line brightness relative to plate median sky line brightness
FrameNreadsZeropointsMag plots Spatial mag deviation Spatial sky 16325A emission deviations (filled: sky, open: star) Spatial sky continuum emission Spatial sky telluric CO2 absorption deviations (filled: H < 10)
0 0
RedGreenBlue
z17.64
znorm Inf
sky -NaN -NaN -Inf
S/N 29.5 48.7 52.5
S/N(c) 0.0 0.0 0.0
SN(E/C) 0.30

IPAIRNAMESHIFTNEWSHIFTS/N NAMESHIFTNEWSHIFTS/N
0 10440042 0.500765 0.00000 19.1956 10440043 -0.00394123 0.504706 19.2120
1 10440041 0.500426 0.000339031 19.1908 10440040 -0.00261051 0.503376 19.1822
2 10440037 0.499763 0.00100201 19.1768 10440036 0.00000 0.500765 19.1459
3 10440038 0.500205 0.000560045 19.1537 10440039 -0.00322255 0.503988 19.1401