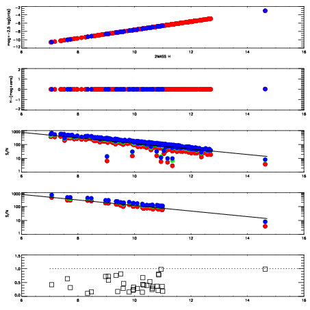
Left plots: red are targets, blue are telluric. Observed mags are calculated from median value of green chip. Zeropoint gives overall throughput: bigger number is more throughput.
First spatial plots: circles are objects, squares are tellurics, crosses are sky fibers. Colors give deviation of observed mag from expected 2MASS mag using the median zeropoint; red is brighter
Second spatial plots: circles are sky fibers. Colors give sky line brightness relative to plate median sky line brightness
FrameNreadsZeropointsMag plots Spatial mag deviation Spatial sky 16325A emission deviations (filled: sky, open: star) Spatial sky continuum emission Spatial sky telluric CO2 absorption deviations (filled: H < 10)
0 0
RedGreenBlue
z17.64
znorm Inf
sky -NaN -NaN -NaN
S/N 29.1 48.9 52.3
S/N(c) 0.0 0.0 0.0
SN(E/C) 0.36

IPAIRNAMESHIFTNEWSHIFTS/N NAMESHIFTNEWSHIFTS/N
0 10260053 0.487615 0.00000 19.2138 10260054 0.00134174 0.486273 19.2169
1 10260052 0.487412 0.000202984 19.2024 10260051 0.00240416 0.485211 19.1863
2 10260049 0.487140 0.000474989 19.1937 10260050 0.00311533 0.484500 19.1777
3 10260048 0.487269 0.000345975 19.1741 10260047 0.00000 0.487615 19.1066