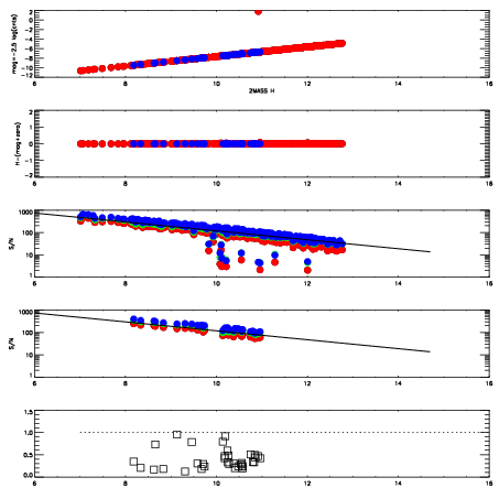
Left plots: red are targets, blue are telluric. Observed mags are calculated from median value of green chip. Zeropoint gives overall throughput: bigger number is more throughput.
First spatial plots: circles are objects, squares are tellurics, crosses are sky fibers. Colors give deviation of observed mag from expected 2MASS mag using the median zeropoint; red is brighter
Second spatial plots: circles are sky fibers. Colors give sky line brightness relative to plate median sky line brightness
FrameNreadsZeropointsMag plots Spatial mag deviation Spatial sky 16325A emission deviations (filled: sky, open: star) Spatial sky continuum emission Spatial sky telluric CO2 absorption deviations (filled: H < 10)
0 0
RedGreenBlue
z17.64
znorm Inf
sky -Inf -Inf -Inf
S/N 25.5 45.1 48.1
S/N(c) 0.0 0.0 0.0
SN(E/C) 0.33

IPAIRNAMESHIFTNEWSHIFTS/N NAMESHIFTNEWSHIFTS/N
0 10450034 0.509014 0.00000 19.0838 10450036 0.00428668 0.504727 19.0352
1 10450038 0.504080 0.00493401 19.1109 10450040 0.00236670 0.506647 19.1640
2 10450039 0.504742 0.00427198 19.1006 10450033 0.00000 0.509014 19.0487
3 10450035 0.508775 0.000239015 19.0442 10450037 0.00444459 0.504569 19.0088