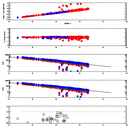
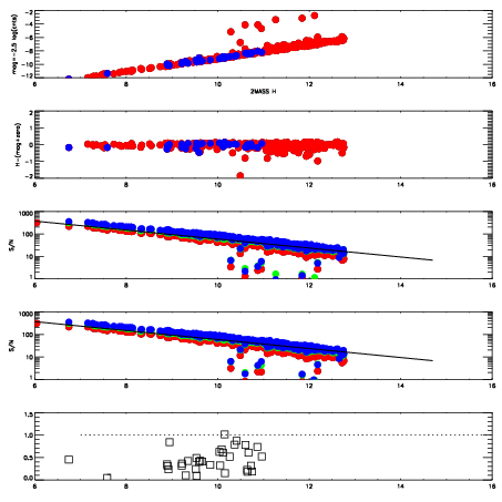
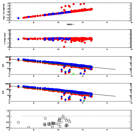
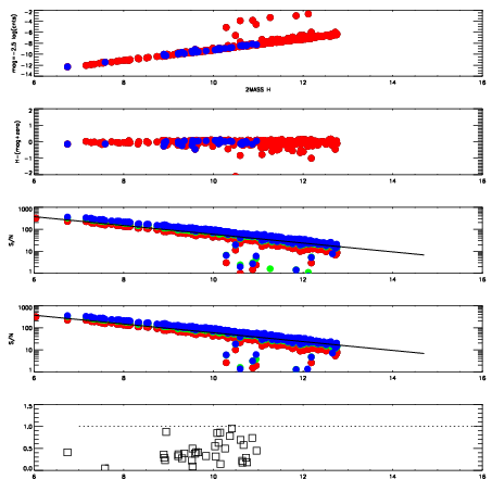
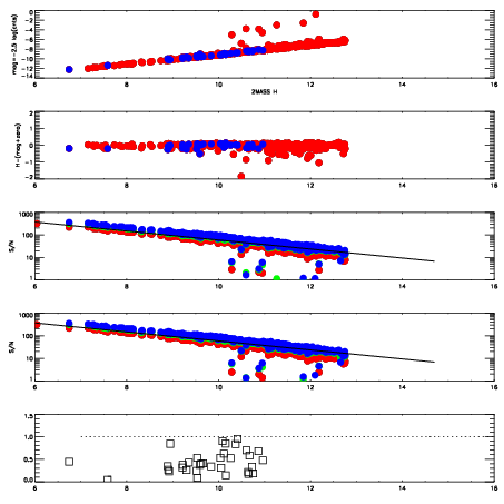
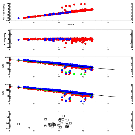
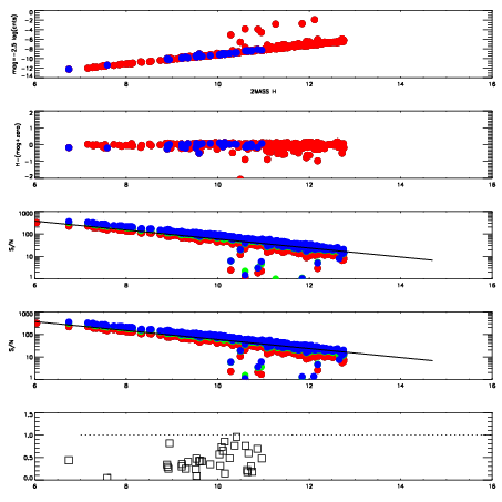
Frame | Nreads | Zeropoints | Mag plots
| Spatial mag deviation
| Spatial sky 16325A emission deviations (filled: sky, open: star)
| Spatial sky continuum emission
| Spatial sky telluric CO2 absorption deviations (filled: H < 10)
|
10230049
| 47
| | Red | Green | Blue
| z | | 19.10
| znorm | | 14.92
| sky | 14.3 | 14.0 | 13.8
| S/N | 15.0 | 25.0 | 25.4
| S/N(c) | 10.6 | 5.0 | 7.0
| SN(E/C) | 0.39
|
|
|
|
|
|
|
10230050
| 47
| | Red | Green | Blue
| z | | 19.15
| znorm | | 14.97
| sky | 14.4 | 14.0 | 14.0
| S/N | 16.0 | 25.6 | 27.0
| S/N(c) | 10.9 | 5.1 | 7.2
| SN(E/C) | 0.38
|
|
|
|
|
|
|
10230051
| 47
| | Red | Green | Blue
| z | | 19.15
| znorm | | 14.97
| sky | 14.3 | 14.1 | 14.0
| S/N | 16.0 | 25.8 | 27.4
| S/N(c) | 11.0 | 5.2 | 7.3
| SN(E/C) | 0.40
|
|
|
|
|
|
|
10230052
| 47
| | Red | Green | Blue
| z | | 19.10
| znorm | | 14.92
| sky | 14.4 | 14.1 | 14.0
| S/N | 15.5 | 25.3 | 26.6
| S/N(c) | 10.6 | 5.0 | 7.1
| SN(E/C) | 0.40
|
|
|
|
|
|
|
10230053
| 47
| | Red | Green | Blue
| z | | 19.12
| znorm | | 14.94
| sky | 14.3 | 14.1 | 14.1
| S/N | 16.0 | 25.8 | 27.2
| S/N(c) | 10.6 | 5.1 | 7.1
| SN(E/C) | 0.39
|
|
|
|
|
|
|
10230054
| 47
| | Red | Green | Blue
| z | | 19.17
| znorm | | 14.99
| sky | 14.4 | 14.2 | 14.1
| S/N | 16.4 | 26.4 | 28.3
| S/N(c) | 11.0 | 5.2 | 7.3
| SN(E/C) | 0.38
|
|
|
|
|
|
|
10230055
| 47
| | Red | Green | Blue
| z | | 19.18
| znorm | | 15.00
| sky | 14.6 | 14.4 | 14.1
| S/N | 16.3 | 26.3 | 27.8
| S/N(c) | 10.8 | 5.2 | 7.3
| SN(E/C) | 0.38
|
|
|
|
|
|
|
10230056
| 47
| | Red | Green | Blue
| z | | 19.17
| znorm | | 14.99
| sky | 14.3 | 14.2 | 14.1
| S/N | 16.4 | 26.6 | 28.7
| S/N(c) | 10.9 | 5.2 | 7.3
| SN(E/C) | 0.37
|
|
|
|
|
|
|