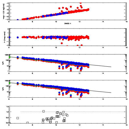
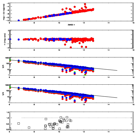
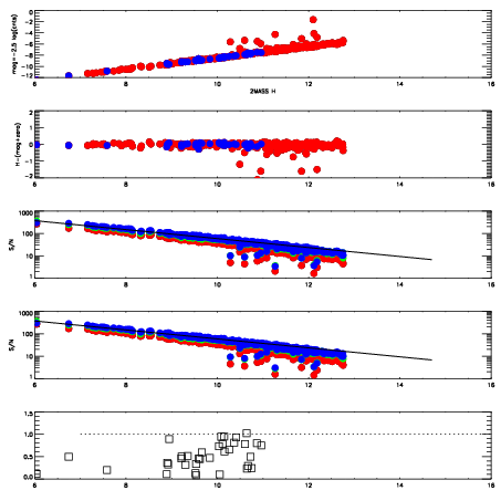
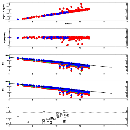
Frame | Nreads | Zeropoints | Mag plots
| Spatial mag deviation
| Spatial sky 16325A emission deviations (filled: sky, open: star)
| Spatial sky continuum emission
| Spatial sky telluric CO2 absorption deviations (filled: H < 10)
|
10800011
| 47
| | Red | Green | Blue
| z | | 18.52
| znorm | | 14.34
| sky | 14.5 | 14.3 | 14.0
| S/N | 10.9 | 18.8 | 19.2
| S/N(c) | 18.3 | 23.0 | 8.8
| SN(E/C) | 0.48
|
|
|
|
|
|
|
10800012
| 47
| | Red | Green | Blue
| z | | 18.44
| znorm | | 14.26
| sky | 14.6 | 14.4 | 14.3
| S/N | 10.0 | 17.8 | 18.5
| S/N(c) | 17.6 | 22.0 | 8.5
| SN(E/C) | 0.51
|
|
|
|
|
|
|
10800013
| 47
| | Red | Green | Blue
| z | | 18.60
| znorm | | 14.42
| sky | 14.6 | 14.2 | 14.3
| S/N | 10.9 | 19.2 | 19.9
| S/N(c) | 19.3 | 24.2 | 9.2
| SN(E/C) | 0.46
|
|
|
|
|
|
|
10800014
| 47
| | Red | Green | Blue
| z | | 18.48
| znorm | | 14.30
| sky | 14.6 | 14.4 | 14.3
| S/N | 10.1 | 18.3 | 19.0
| S/N(c) | 17.8 | 22.7 | 8.8
| SN(E/C) | 0.50
|
|
|
|
|
|
|
10800015
| 47
| | Red | Green | Blue
| z | | 18.64
| znorm | | 14.46
| sky | 14.6 | 14.4 | 14.3
| S/N | 11.3 | 19.9 | 20.9
| S/N(c) | 19.8 | 24.8 | 9.5
| SN(E/C) | 0.44
|
|
|
|
|
|
|
10800016
| 47
| | Red | Green | Blue
| z | | 18.77
| znorm | | 14.59
| sky | 14.5 | 14.3 | 14.3
| S/N | 12.2 | 20.9 | 22.4
| S/N(c) | 20.9 | 26.5 | 10.1
| SN(E/C) | 0.42
|
|
|
|
|
|
|
10800017
| 47
| | Red | Green | Blue
| z | | 18.70
| znorm | | 14.52
| sky | 14.8 | 14.4 | 14.4
| S/N | 11.8 | 20.3 | 21.7
| S/N(c) | 20.2 | 25.5 | 9.8
| SN(E/C) | 0.46
|
|
|
|
|
|
|
10800018
| 47
| | Red | Green | Blue
| z | | 18.84
| znorm | | 14.66
| sky | 14.6 | 14.5 | 14.4
| S/N | 12.4 | 22.0 | 23.1
| S/N(c) | 21.9 | 27.1 | 10.4
| SN(E/C) | 0.42
|
|
|
|
|
|
|