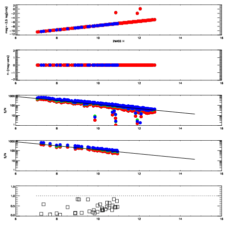
Left plots: red are targets, blue are telluric. Observed mags are calculated from median value of green chip. Zeropoint gives overall throughput: bigger number is more throughput.
First spatial plots: circles are objects, squares are tellurics, crosses are sky fibers. Colors give deviation of observed mag from expected 2MASS mag using the median zeropoint; red is brighter
Second spatial plots: circles are sky fibers. Colors give sky line brightness relative to plate median sky line brightness
FrameNreadsZeropointsMag plots Spatial mag deviation Spatial sky 16325A emission deviations (filled: sky, open: star) Spatial sky continuum emission Spatial sky telluric CO2 absorption deviations (filled: H < 10)
0 0
RedGreenBlue
z17.64
znorm Inf
sky -NaN -NaN -Inf
S/N 27.8 46.2 48.4
S/N(c) 0.0 0.0 0.0
SN(E/C) 0.38

IPAIRNAMESHIFTNEWSHIFTS/N NAMESHIFTNEWSHIFTS/N
0 10240049 0.502617 0.00000 19.0769 10240055 0.00338704 0.499230 19.0570
1 10240054 0.498102 0.00451499 19.0919 10240052 0.00105482 0.501562 19.0979
2 10240053 0.497653 0.00496399 19.0900 10240051 0.00134014 0.501277 19.0974
3 10240050 0.502238 0.000379026 19.0714 10240048 0.00000 0.502617 19.0457