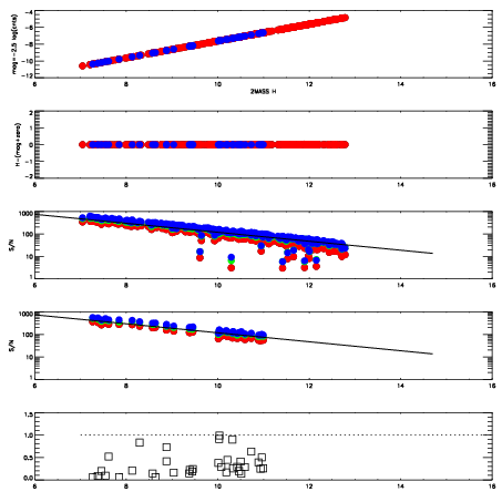
Left plots: red are targets, blue are telluric. Observed mags are calculated from median value of green chip. Zeropoint gives overall throughput: bigger number is more throughput.
First spatial plots: circles are objects, squares are tellurics, crosses are sky fibers. Colors give deviation of observed mag from expected 2MASS mag using the median zeropoint; red is brighter
Second spatial plots: circles are sky fibers. Colors give sky line brightness relative to plate median sky line brightness
FrameNreadsZeropointsMag plots Spatial mag deviation Spatial sky 16325A emission deviations (filled: sky, open: star) Spatial sky continuum emission Spatial sky telluric CO2 absorption deviations (filled: H < 10)
0 0
RedGreenBlue
z17.64
znorm Inf
sky -Inf -Inf -Inf
S/N 27.0 46.5 48.5
S/N(c) 0.0 0.0 0.0
SN(E/C) 0.26

IPAIRNAMESHIFTNEWSHIFTS/N NAMESHIFTNEWSHIFTS/N
0 10460050 0.498205 0.00000 18.9863 10460051 0.00290705 0.495298 18.9680
1 10460053 0.497613 0.000591993 18.9971 10460055 -0.00138021 0.499585 19.0260
2 10460054 0.498183 2.19941e-05 18.9914 10460052 0.00259477 0.495610 18.9947
3 10460049 0.498035 0.000169992 18.9647 10460048 0.00000 0.498205 18.9602