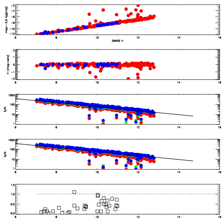
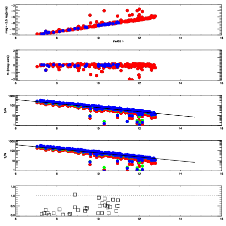
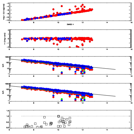
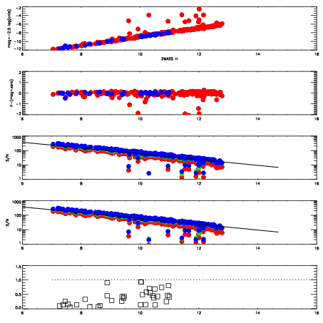
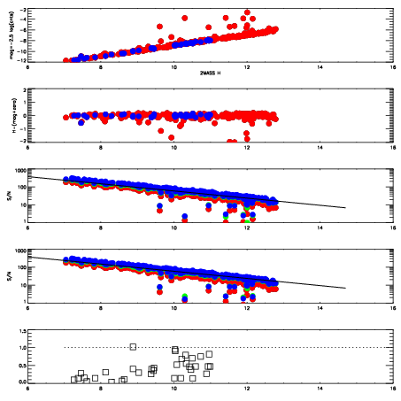
Frame | Nreads | Zeropoints | Mag plots
| Spatial mag deviation
| Spatial sky 16325A emission deviations (filled: sky, open: star)
| Spatial sky continuum emission
| Spatial sky telluric CO2 absorption deviations (filled: H < 10)
|
10800026
| 47
| | Red | Green | Blue
| z | | 18.90
| znorm | | 14.72
| sky | 14.6 | 14.2 | 14.2
| S/N | 13.5 | 22.3 | 22.5
| S/N(c) | 19.6 | 8.0 | 32.0
| SN(E/C) | 0.38
|
|
|
|
|
|
|
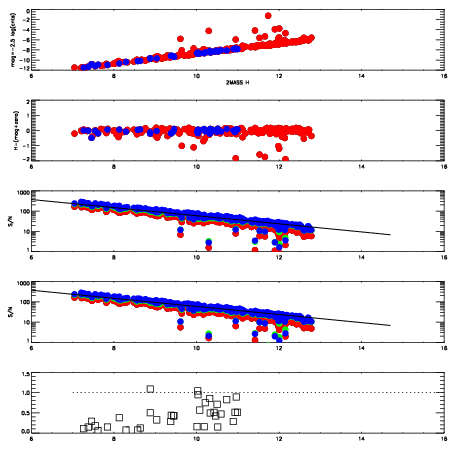
10800027
| 47
| | Red | Green | Blue
| z | | 18.78
| znorm | | 14.59
| sky | 14.6 | 14.2 | 14.4
| S/N | 12.8 | 20.5 | 21.2
| S/N(c) | 18.7 | 7.5 | 29.7
| SN(E/C) | 0.40
|
|
|
|
|
|
|
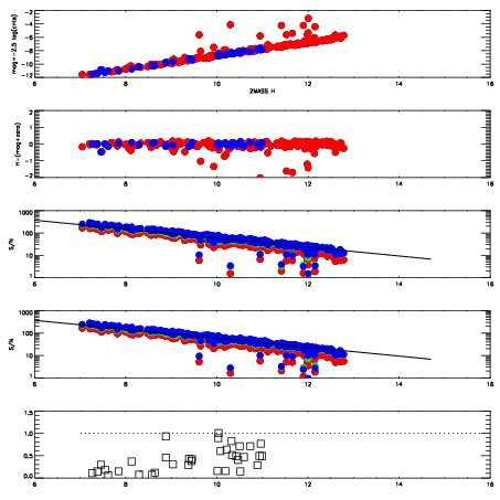
10800028
| 47
| | Red | Green | Blue
| z | | 18.73
| znorm | | 14.55
| sky | 14.5 | 14.3 | 14.4
| S/N | 12.1 | 20.2 | 20.6
| S/N(c) | 18.7 | 7.5 | 29.8
| SN(E/C) | 0.42
|
|
|
|
|
|
|
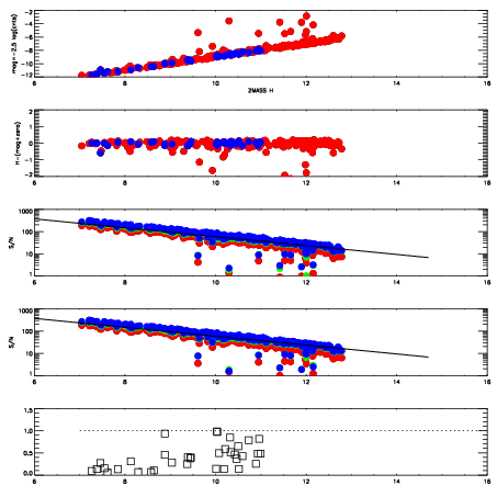
10800029
| 47
| | Red | Green | Blue
| z | | 18.76
| znorm | | 14.58
| sky | 14.6 | 14.3 | 14.4
| S/N | 12.4 | 20.8 | 21.5
| S/N(c) | 18.8 | 7.6 | 30.1
| SN(E/C) | 0.40
|
|
|
|
|
|
|
10800030
| 47
| | Red | Green | Blue
| z | | 18.90
| znorm | | 14.72
| sky | 14.4 | 14.3 | 14.3
| S/N | 13.5 | 22.9 | 23.7
| S/N(c) | 20.2 | 8.1 | 32.4
| SN(E/C) | 0.38
|
|
|
|
|
|
|
10800031
| 47
| | Red | Green | Blue
| z | | 18.96
| znorm | | 14.78
| sky | 14.5 | 14.3 | 14.3
| S/N | 14.2 | 23.4 | 24.7
| S/N(c) | 20.8 | 8.3 | 33.2
| SN(E/C) | 0.38
|
|
|
|
|
|
|
10800032
| 47
| | Red | Green | Blue
| z | | 19.01
| znorm | | 14.83
| sky | 14.4 | 14.3 | 14.2
| S/N | 14.6 | 24.0 | 25.7
| S/N(c) | 21.7 | 8.7 | 34.1
| SN(E/C) | 0.36
|
|
|
|
|
|
|
10800033
| 47
| | Red | Green | Blue
| z | | 18.94
| znorm | | 14.76
| sky | 14.5 | 14.3 | 14.4
| S/N | 14.2 | 23.7 | 25.2
| S/N(c) | 21.0 | 8.5 | 33.0
| SN(E/C) | 0.38
|
|
|
|
|
|
|