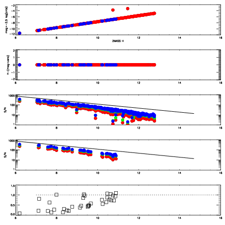
Left plots: red are targets, blue are telluric. Observed mags are calculated from median value of green chip. Zeropoint gives overall throughput: bigger number is more throughput.
First spatial plots: circles are objects, squares are tellurics, crosses are sky fibers. Colors give deviation of observed mag from expected 2MASS mag using the median zeropoint; red is brighter
Second spatial plots: circles are sky fibers. Colors give sky line brightness relative to plate median sky line brightness
FrameNreadsZeropointsMag plots Spatial mag deviation Spatial sky 16325A emission deviations (filled: sky, open: star) Spatial sky continuum emission Spatial sky telluric CO2 absorption deviations (filled: H < 10)
0 0
RedGreenBlue
z17.64
znorm Inf
sky -Inf -Inf -Inf
S/N 6.0 11.3 12.8
S/N(c) 0.0 0.0 0.0
SN(E/C) 0.57

IPAIRNAMESHIFTNEWSHIFTS/N NAMESHIFTNEWSHIFTS/N
0 10540049 0.501212 0.00000 17.4504 10540055 0.00295408 0.498258 17.1902
1 10540053 0.499851 0.00136101 17.6652 10540052 0.00716197 0.494050 17.5396
2 10540050 0.500973 0.000239015 17.3090 10540048 0.00000 0.501212 17.0592
3 10540054 0.500569 0.000643015 16.5280 10540051 0.00747148 0.493741 16.7681