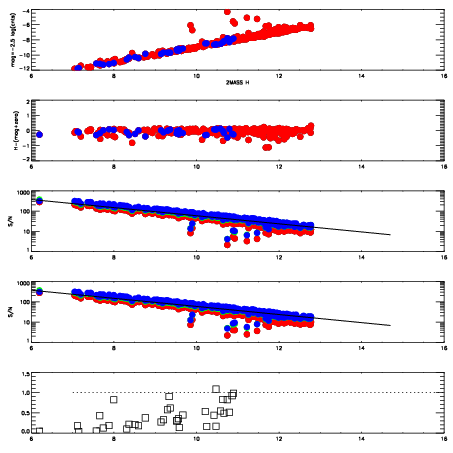
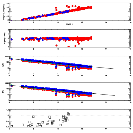
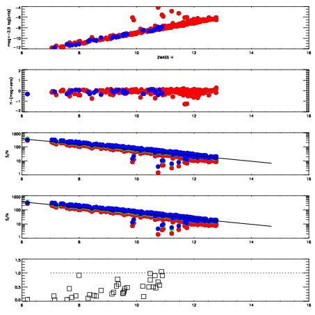
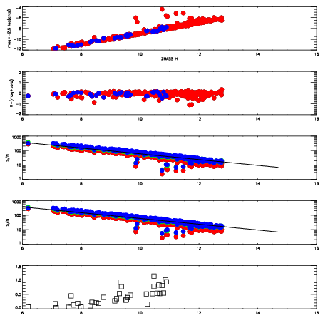
Frame | Nreads | Zeropoints | Mag plots
| Spatial mag deviation
| Spatial sky 16325A emission deviations (filled: sky, open: star)
| Spatial sky continuum emission
| Spatial sky telluric CO2 absorption deviations (filled: H < 10)
|
10790036
| 47
| | Red | Green | Blue
| z | | 18.95
| znorm | | 14.77
| sky | 14.3 | 14.1 | 13.9
| S/N | 14.6 | 22.6 | 23.4
| S/N(c) | 25.2 | 31.6 | 24.3
| SN(E/C) | 0.40
|
|
|
|
|
|
|
10790037
| 47
| | Red | Green | Blue
| z | | 18.99
| znorm | | 14.81
| sky | 14.5 | 14.2 | 14.2
| S/N | 14.8 | 23.0 | 24.4
| S/N(c) | 25.9 | 32.6 | 25.0
| SN(E/C) | 0.35
|
|
|
|
|
|
|
10790038
| 47
| | Red | Green | Blue
| z | | 19.02
| znorm | | 14.84
| sky | 14.4 | 14.2 | 14.2
| S/N | 15.1 | 23.0 | 25.1
| S/N(c) | 25.9 | 32.6 | 25.1
| SN(E/C) | 0.44
|
|
|
|
|
|
|
10790039
| 47
| | Red | Green | Blue
| z | | 18.85
| znorm | | 14.67
| sky | 14.5 | 14.2 | 14.3
| S/N | 13.9 | 21.1 | 22.9
| S/N(c) | 23.6 | 30.1 | 23.3
| SN(E/C) | 0.45
|
|
|
|
|
|
|
10790040
| 47
| | Red | Green | Blue
| z | | 18.78
| znorm | | 14.60
| sky | 14.4 | 14.3 | 14.2
| S/N | 12.9 | 20.6 | 21.7
| S/N(c) | 22.8 | 29.1 | 22.5
| SN(E/C) | 0.44
|
|
|
|
|
|
|
10790041
| 47
| | Red | Green | Blue
| z | | 18.82
| znorm | | 14.64
| sky | 14.6 | 14.3 | 14.2
| S/N | 13.4 | 20.8 | 22.7
| S/N(c) | 23.5 | 29.9 | 23.1
| SN(E/C) | 0.46
|
|
|
|
|
|
|
10790042
| 47
| | Red | Green | Blue
| z | | 19.00
| znorm | | 14.82
| sky | 14.4 | 14.2 | 14.1
| S/N | 14.7 | 23.1 | 25.1
| S/N(c) | 25.9 | 32.9 | 25.5
| SN(E/C) | 0.41
|
|
|
|
|
|
|
10790043
| 47
| | Red | Green | Blue
| z | | 18.91
| znorm | | 14.73
| sky | 14.4 | 14.3 | 14.1
| S/N | 13.8 | 21.9 | 24.0
| S/N(c) | 24.1 | 31.4 | 24.2
| SN(E/C) | 0.36
|
|
|
|
|
|
|