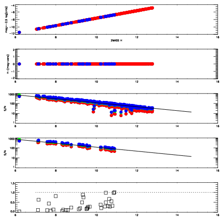
Left plots: red are targets, blue are telluric. Observed mags are calculated from median value of green chip. Zeropoint gives overall throughput: bigger number is more throughput.
First spatial plots: circles are objects, squares are tellurics, crosses are sky fibers. Colors give deviation of observed mag from expected 2MASS mag using the median zeropoint; red is brighter
Second spatial plots: circles are sky fibers. Colors give sky line brightness relative to plate median sky line brightness
FrameNreadsZeropointsMag plots Spatial mag deviation Spatial sky 16325A emission deviations (filled: sky, open: star) Spatial sky continuum emission Spatial sky telluric CO2 absorption deviations (filled: H < 10)
0 0
RedGreenBlue
z17.64
znorm Inf
sky -Inf -Inf -Inf
S/N 24.7 40.8 44.0
S/N(c) 0.0 0.0 0.0
SN(E/C) 0.28

IPAIRNAMESHIFTNEWSHIFTS/N NAMESHIFTNEWSHIFTS/N
0 10790042 0.495738 0.00000 18.9937 10790036 0.00000 0.495738 18.9296
1 10790038 0.495327 0.000411004 18.9843 10790043 -0.00188399 0.497622 18.9007
2 10790037 0.494854 0.000883996 18.9669 10790039 -0.00140931 0.497147 18.8290
3 10790041 0.495622 0.000115991 18.8118 10790040 -0.00142281 0.497161 18.7575