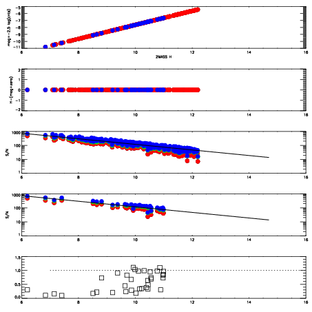
Left plots: red are targets, blue are telluric. Observed mags are calculated from median value of green chip. Zeropoint gives overall throughput: bigger number is more throughput.
First spatial plots: circles are objects, squares are tellurics, crosses are sky fibers. Colors give deviation of observed mag from expected 2MASS mag using the median zeropoint; red is brighter
Second spatial plots: circles are sky fibers. Colors give sky line brightness relative to plate median sky line brightness
FrameNreadsZeropointsMag plots Spatial mag deviation Spatial sky 16325A emission deviations (filled: sky, open: star) Spatial sky continuum emission Spatial sky telluric CO2 absorption deviations (filled: H < 10)
0 0
RedGreenBlue
z17.64
znorm Inf
sky -Inf -Inf -Inf
S/N 23.4 43.3 44.1
S/N(c) 0.0 0.0 0.0
SN(E/C) 0.64

IPAIRNAMESHIFTNEWSHIFTS/N NAMESHIFTNEWSHIFTS/N
0 07870044 0.458506 0.00000 18.9386 07870045 -0.00264157 0.461148 18.9235
1 07870043 0.458483 2.29776e-05 18.9455 07870042 0.00000 0.458506 18.9243
2 07870048 0.458400 0.000105977 18.8217 07870046 -0.00312849 0.461634 18.8570
3 07870047 0.458442 6.39856e-05 18.7178 07870049 -0.00349405 0.462000 18.7990