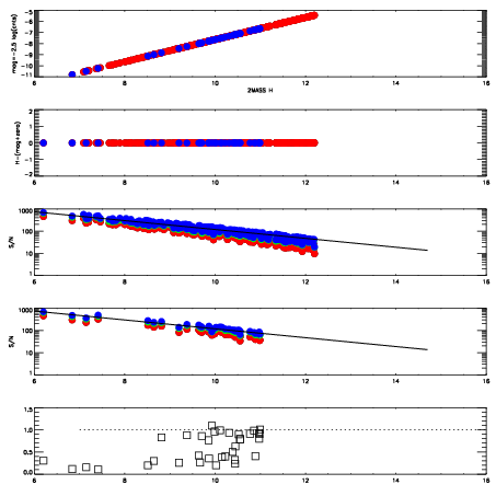
Left plots: red are targets, blue are telluric. Observed mags are calculated from median value of green chip. Zeropoint gives overall throughput: bigger number is more throughput.
First spatial plots: circles are objects, squares are tellurics, crosses are sky fibers. Colors give deviation of observed mag from expected 2MASS mag using the median zeropoint; red is brighter
Second spatial plots: circles are sky fibers. Colors give sky line brightness relative to plate median sky line brightness
FrameNreadsZeropointsMag plots Spatial mag deviation Spatial sky 16325A emission deviations (filled: sky, open: star) Spatial sky continuum emission Spatial sky telluric CO2 absorption deviations (filled: H < 10)
0 0
RedGreenBlue
z17.64
znorm Inf
sky -Inf -NaN -Inf
S/N 21.8 36.5 38.8
S/N(c) 0.0 0.0 0.0
SN(E/C) 0.62

IPAIRNAMESHIFTNEWSHIFTS/N NAMESHIFTNEWSHIFTS/N
0 10880086 0.503332 0.00000 18.5581 10880083 -0.00149610 0.504828 18.4947
1 10880082 0.502065 0.00126702 18.7240 10880087 -9.62240e-05 0.503428 18.6299
2 10880085 0.502931 0.000401020 18.6106 10880080 0.00000 0.503332 18.5869
3 10880081 0.503002 0.000330031 18.6004 10880084 -0.00153151 0.504864 18.5650