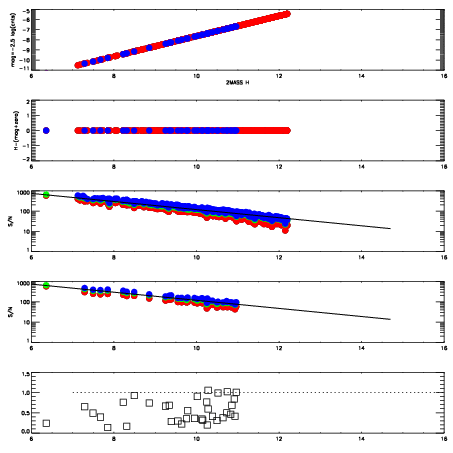
Left plots: red are targets, blue are telluric. Observed mags are calculated from median value of green chip. Zeropoint gives overall throughput: bigger number is more throughput.
First spatial plots: circles are objects, squares are tellurics, crosses are sky fibers. Colors give deviation of observed mag from expected 2MASS mag using the median zeropoint; red is brighter
Second spatial plots: circles are sky fibers. Colors give sky line brightness relative to plate median sky line brightness
FrameNreadsZeropointsMag plots Spatial mag deviation Spatial sky 16325A emission deviations (filled: sky, open: star) Spatial sky continuum emission Spatial sky telluric CO2 absorption deviations (filled: H < 10)
0 0
RedGreenBlue
z17.64
znorm Inf
sky -NaN -NaN -NaN
S/N 24.0 41.0 43.5
S/N(c) 0.0 0.0 0.0
SN(E/C) 0.49

IPAIRNAMESHIFTNEWSHIFTS/N NAMESHIFTNEWSHIFTS/N
0 07630016 0.473883 0.00000 18.9143 07630014 0.00305504 0.470828 18.8774
1 07630015 0.471951 0.00193200 18.9601 07630013 0.00532907 0.468554 18.8950
2 07630011 0.471791 0.00209200 18.8242 07630017 0.00600719 0.467876 18.8466
3 07630012 0.473443 0.000440001 18.7941 07630010 0.00000 0.473883 18.8202