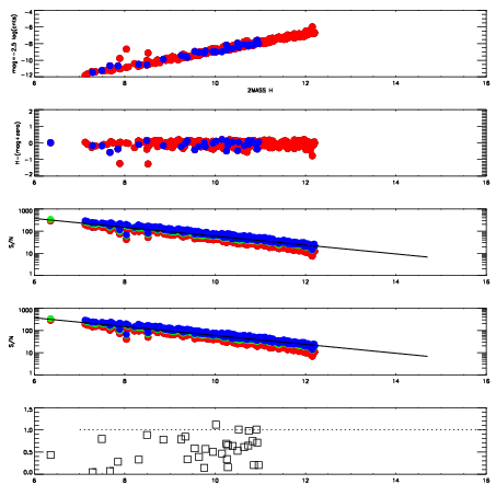
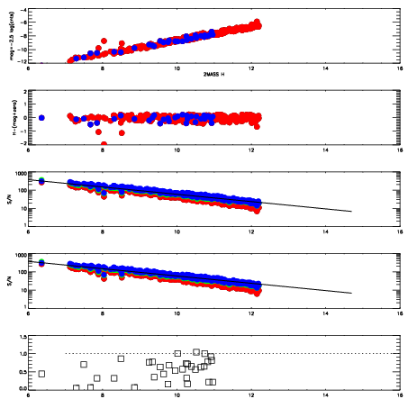
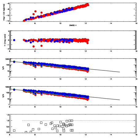
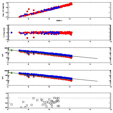
Frame | Nreads | Zeropoints | Mag plots
| Spatial mag deviation
| Spatial sky 16325A emission deviations (filled: sky, open: star)
| Spatial sky continuum emission
| Spatial sky telluric CO2 absorption deviations (filled: H < 10)
|
7890037
| 47
| | Red | Green | Blue
| z | | 18.84
| znorm | | 14.66
| sky | 14.6 | 14.2 | 14.3
| S/N | 12.4 | 20.3 | 21.5
| S/N(c) | 27.1 | 22.1 | 13.0
| SN(E/C) | 0.59
|
|
|
|
|
|
|
7890038
| 47
| | Red | Green | Blue
| z | | 18.83
| znorm | | 14.65
| sky | 14.7 | 14.3 | 14.5
| S/N | 12.5 | 20.6 | 22.1
| S/N(c) | 27.0 | 22.0 | 13.1
| SN(E/C) | 0.59
|
|
|
|
|
|
|
7890039
| 47
| | Red | Green | Blue
| z | | 18.84
| znorm | | 14.66
| sky | 14.7 | 14.4 | 14.6
| S/N | 12.4 | 21.0 | 22.4
| S/N(c) | 27.0 | 22.3 | 13.0
| SN(E/C) | 0.58
|
|
|
|
|
|
|
7890040
| 47
| | Red | Green | Blue
| z | | 18.73
| znorm | | 14.55
| sky | 14.6 | 14.5 | 14.6
| S/N | 11.4 | 20.1 | 21.4
| S/N(c) | 25.6 | 21.2 | 12.2
| SN(E/C) | 0.62
|
|
|
|
|
|
|
7890041
| 47
| | Red | Green | Blue
| z | | 18.91
| znorm | | 14.73
| sky | 14.8 | 14.4 | 14.6
| S/N | 12.9 | 21.6 | 23.4
| S/N(c) | 28.1 | 23.1 | 13.2
| SN(E/C) | 0.59
|
|
|
|
|
|
|
7890042
| 47
| | Red | Green | Blue
| z | | 18.91
| znorm | | 14.73
| sky | 14.5 | 14.5 | 14.4
| S/N | 12.7 | 21.2 | 23.5
| S/N(c) | 27.4 | 22.7 | 13.1
| SN(E/C) | 0.58
|
|
|
|
|
|
|
7890043
| 47
| | Red | Green | Blue
| z | | 18.87
| znorm | | 14.69
| sky | 14.9 | 14.4 | 14.6
| S/N | 12.5 | 20.9 | 23.0
| S/N(c) | 27.4 | 22.7 | 13.2
| SN(E/C) | 0.58
|
|
|
|
|
|
|
7890044
| 47
| | Red | Green | Blue
| z | | 18.92
| znorm | | 14.74
| sky | 14.6 | 14.5 | 14.7
| S/N | 12.8 | 21.4 | 23.8
| S/N(c) | 28.0 | 23.1 | 13.3
| SN(E/C) | 0.59
|
|
|
|
|
|
|