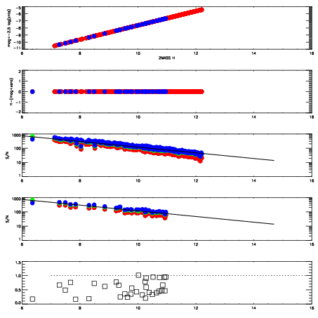
Left plots: red are targets, blue are telluric. Observed mags are calculated from median value of green chip. Zeropoint gives overall throughput: bigger number is more throughput.
First spatial plots: circles are objects, squares are tellurics, crosses are sky fibers. Colors give deviation of observed mag from expected 2MASS mag using the median zeropoint; red is brighter
Second spatial plots: circles are sky fibers. Colors give sky line brightness relative to plate median sky line brightness
FrameNreadsZeropointsMag plots Spatial mag deviation Spatial sky 16325A emission deviations (filled: sky, open: star) Spatial sky continuum emission Spatial sky telluric CO2 absorption deviations (filled: H < 10)
0 0
RedGreenBlue
z17.64
znorm Inf
sky -Inf -NaN -Inf
S/N 22.0 39.3 43.2
S/N(c) 0.0 0.0 0.0
SN(E/C) 0.49

IPAIRNAMESHIFTNEWSHIFTS/N NAMESHIFTNEWSHIFTS/N
0 07890043 0.473606 0.00000 18.8542 07890041 -0.000792593 0.474399 18.8820
1 07890042 0.472203 0.00140300 18.8912 07890044 0.000399812 0.473206 18.9029
2 07890039 0.471902 0.00170398 18.8197 07890037 0.00000 0.473606 18.8175
3 07890038 0.470758 0.00284800 18.8076 07890040 0.000698126 0.472908 18.7166