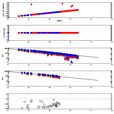
Left plots: red are targets, blue are telluric. Observed mags are calculated from median value of green chip. Zeropoint gives overall throughput: bigger number is more throughput.
First spatial plots: circles are objects, squares are tellurics, crosses are sky fibers. Colors give deviation of observed mag from expected 2MASS mag using the median zeropoint; red is brighter
Second spatial plots: circles are sky fibers. Colors give sky line brightness relative to plate median sky line brightness
FrameNreadsZeropointsMag plots Spatial mag deviation Spatial sky 16325A emission deviations (filled: sky, open: star) Spatial sky continuum emission Spatial sky telluric CO2 absorption deviations (filled: H < 10)
0 0
RedGreenBlue
z17.64
znorm Inf
sky -NaN -NaN -Inf
S/N 20.9 34.6 39.9
S/N(c) 0.0 0.0 0.0
SN(E/C) 0.36

IPAIRNAMESHIFTNEWSHIFTS/N NAMESHIFTNEWSHIFTS/N
0 07630023 0.469025 0.00000 18.7589 07630021 0.00000 0.469025 18.6691
1 07630022 0.467922 0.00110298 18.7875 07630025 -0.00196441 0.470989 18.7553
2 07630026 0.466159 0.00286600 18.7689 07630028 0.00130282 0.467722 18.7180
3 07630027 0.466783 0.00224200 18.7243 07630024 -0.00197030 0.470995 18.6631