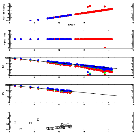
Left plots: red are targets, blue are telluric. Observed mags are calculated from median value of green chip. Zeropoint gives overall throughput: bigger number is more throughput.
First spatial plots: circles are objects, squares are tellurics, crosses are sky fibers. Colors give deviation of observed mag from expected 2MASS mag using the median zeropoint; red is brighter
Second spatial plots: circles are sky fibers. Colors give sky line brightness relative to plate median sky line brightness
FrameNreadsZeropointsMag plots Spatial mag deviation Spatial sky 16325A emission deviations (filled: sky, open: star) Spatial sky continuum emission Spatial sky telluric CO2 absorption deviations (filled: H < 10)
0 0
RedGreenBlue
z17.63
znorm Inf
sky -NaN -NaN -Inf
S/N 24.0 43.8 45.7
S/N(c) 18.1 72.0 75.8
SN(E/C) 0.29

IPAIRNAMESHIFTNEWSHIFTS/N NAMESHIFTNEWSHIFTS/N
0 07610065 0.486259 0.00000 18.8932 07610066 -0.000268192 0.486527 18.8428
1 07610064 0.484574 0.00168502 18.7521 07610063 -0.00119286 0.487452 18.7892
2 07610060 0.485250 0.00100902 18.7282 07610059 0.00000 0.486259 18.7753
3 07610061 0.485263 0.000996023 18.7272 07610062 0.000205774 0.486053 18.7148